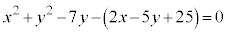
共通テスト数学IIBC '26年第1問
Oを原点とする座標平面において、方程式
・・・@ の表す円を
とする。また、方程式
・・・A の表す円を
とする。
(1)
の中心の座標は
である。
の半径を
,
の半径を
,
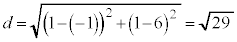
の中心と
の中心の間の距離をdとすると、
,
,
である。
,
,dの関係から、
と
は2点で交わることがわかる。
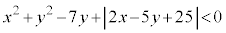
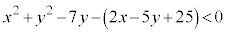
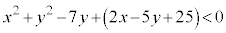
(2) 不等式
・・・Bの表す領域について考える。
Bの左辺は、
のときは@の左辺と一致し、
のときはAの左辺と一致する。
(i) 不等式
の表す領域をD,不等式
の表す領域をEとする。 ・原点Oは
に含まれる。 ・
の中心は
に含まれる。 ・
の中心は
に含まれる。
〜
の解答群(同じものを繰り返し選んでもよい。)
D
E
(ii) 方程式
・・・Cの表す直線を
とする。
実数x,yが@とAの両方を満たすとする。@とAの左辺どうし、右辺どうしの差をとると となる。よって、実数x,yはCも満たす。
したって、
。このことから、
は
と
の二つの交点を通る直線であることがわかる。
については、最も適当なものを、次の
〜
のうちから一つ選べ。
点Pを
上の点とすると、Pは
上にあり、かつ
上にもある
点Pを
上の点とすると、Pは
上にあるか、または
上にある
点Pを
上にあり、かつ
上にもある点とすると、Pは
にある
点Pを
上にあるか、または
上にある点とすると、Pは
にある
点Pを
上の点、点Qを
上の点とすると、直線PQは
と一致する
点Pを
上の点、点Qを
上の点とすると、直線PQは
と交わる
(iii) 不等式
の表す領域と(i)の領域Dの共通部分をFとする。
また、不等式
の表す領域と(i)の領域Eの共通部分をGとする。
不等式Bの表す領域は、FとGの和集合である。これを図示すると
の灰色部分である。ただし、境界線を含まない。
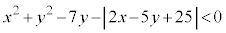
(iv) Bにおいて、
の前の符号を+から−に変えた不等式
・・・Dを考える。Dの表す領域を図示すると
の灰色部分である。ただし、境界線を含まない。

,
については、最も適当なものを、次の
〜
のうちから一つずつ選べ。ただし、同じものを繰り返し選んでもよい。なお、
〜
では座標軸を省略している。
【広告】ここから広告です。ご覧の皆さまのご支援ご理解を賜りたく、よろしくお願いいたします。
【広告】広告はここまでです。
解答 円 と領域の基本問題で、この問題は落とせません。
(1) @を変形すると、
:
Aを変形すると、
:
の中心の座標は
アイ −1 ウ 6 ......[答]
の半径
エ 2 オ 3 ......[答]
の半径
カ 3 キ 3 ......[答]
の中心は
,
,
の中心間距離
クケ 29 ......[答]
より、
,
は2点で交わります(2円の位置関係を参照)。
(2)
・・・B
(i) D:
E:
DとEには共通部分はありません。 ・原点O
の座標は、
よりDを満たすので、原点OはDに含まれます。 コ 0 ......[答] ・
の中心
は、
よりEを満たすので、
の中心
はEに含まれます。 サ 1 ......[答] ・
の中心
は、
よりDを満たすので、
の中心
はDに含まれます。 シ 0 ......[答] (ii)
:
・・・C 実数x,yが@,Aの両方を満たすとき、@−Aより、
より、実数x,yはCも満たし、
上にあり、かつ
上にある点Pは
上にもあります。 ス 2 ......[答]領域Dは、直線
から下側の領域です。領域Eは、直線
よりも上側の領域です。
(iii) 不等式:
,即ち、
の表す領域は、円
より内側です。これと領域Dとの共通部分Fは、円
より内側であって直線
から下側の部分です。 不等式:
,即ち、
の表す領域は、円
より内側です。これと領域Eとの共通部分Gは、円
より内側であって直線
より上側です。
不等式Bの表す領域、つまり、FとGの和集合は、円
より内側と円
より内側の共通部分に一致します。 セ 0 ......[答]
(iv)
・・・D D:
のとき、Dは、
となり、円
より内側の領域とDとの共通部分で、円
より内側であって直線
から下側です。E:
のとき、Dは、
となり、円
より内側の領域とEとの共通部分で、円
より内側であって直線
より上側です。
不等式Dの表す領域を図示すると、両者の和集合であって、円
より内側と円
より内側を合わせた部分に一致します。 セ 4 ......[答]
【広告】ここから広告です。ご覧の皆さまのご支援ご理解を賜りたく、よろしくお願いいたします。
【広告】広告はここまでです。
数学TOP TOPページに戻る
【広告】ここから広告です。ご覧の皆さまのご支援ご理解を賜りたく、よろしくお願いいたします。
【広告】広告はここまでです。
各問題の著作権は
出題大学に属します。なお、解答は、
苦学楽学塾制作です。©2005-2026(有)りるらる 苦学楽学塾 随時入会受付中!理系大学受験ネット塾苦学楽学塾(ご案内はこちら)ご入会は、
まず、こちらまでメールを
お送りください。