共通テスト数学IIBC '26年第4問
数列
に対して
(
) で定められる数列
を、
の階差数列という。
(1)
の初項は1とする。また、
の階差数列
の一般項が で表されるとする。
(i)
であるから、
となる。さらに、
であるから、
となる。
(ii) nを2以上の自然数とする。このとき
・・・@が成り立つことから
であることがわかる。
の解答群
(2) 太郎さんは、@を変形すると
となることから、数列の和を求めるために次のことを考えた。
−発想−−−−−−−−−−−−−−−−−−
ある数列
の和を求めたいときは、数列
で、
の階差数列が
となるものを見つければよい。 −−−−−−−−−−−−−−−−−−−−−
太郎さんは、この発想に基づいて、一般項が
で表される数列
の和を求めることにした。
数列
で、
の階差数列が
となるもの、すなわち
(
) ・・・Aとなるものを見つけたい。太郎さんは、
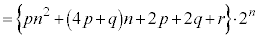
の一般項がnの1次式と
の積であることから、
の一般項が と表されるのではないかと考えた。ここで、p,qは定数である。このとき、
をn,p,qを用いて表すと となる。
よって、
,
のときAが成り立つ。
以上のことから、すべての自然数nについて、数列
の初項から第n項までの和は となることがわかる。
,
の解答群(同じものを繰り返し選んでもよい。)
の解答群
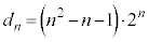
(3) 花子さんは、一般項が
で表される数列
の和を求めることにした。(2)の発想に基づいて考えると、
すべての自然数nについて、
の初項から第n項までの和は となることがわかる。
の解答群
【広告】ここから広告です。ご覧の皆さまのご支援ご理解を賜りたく、よろしくお願いいたします。
【広告】広告はここまでです。
解答 数列の問題です。例年同様、計算はかなり面倒で、工夫が必要です。
(
)
(1)
,
(i)
ア 3 ......[答]
イ 4 ......[答]
ウ 7 ......[答]
エオ 11 ......[答]
・・・@カ 0 ......[答]
キ 2 ク 3 ケ 2 ......[答]
(2)
,ここで問題文にあるように、
とおくと、 コ 0 サ 5 ......[答]
とすると、
より、
,
,
シ 2 スセ −3 ......[答]よって、
数列
の初項から第n項までの和は、
より、
・・・Bソ 3 タ 2 ......[答]
(3) (2)の発想に基づき、
とおき、
とすると、 
・・・Bチ 7 ツ 6 ......[答]
【広告】ここから広告です。ご覧の皆さまのご支援ご理解を賜りたく、よろしくお願いいたします。
【広告】広告はここまでです。
数学TOP TOPページに戻る
【広告】ここから広告です。ご覧の皆さまのご支援ご理解を賜りたく、よろしくお願いいたします。
【広告】広告はここまでです。
各問題の著作権は
出題大学に属します。なお、解答は、
苦学楽学塾制作です。©2005-2026(有)りるらる 苦学楽学塾 随時入会受付中!理系大学受験ネット塾苦学楽学塾(ご案内はこちら)ご入会は、
まず、こちらまでメールを
お送りください。