共通テスト数学IIBC '26年第5問
以下の問題を解答するにあたっては、必要に応じて問題末の正規分布表を用いてもよい。
ある自治体では、地域の知識を問う資格試験(以下、資格試験)を毎年実施しており、200点満点のうち120点以上である受験生を合格としている。
(1) 今年実施した資格試験(以下、今年の資格試験)における受験者全体の得点の平均点は116点、標準偏差が25点であることが公表された。今年の資格試験の受験者の得点は正規分布に従うとし、得点を表す確率変数をXとする。このとき、Xは正規分布
に従うから、
とおくと、Yは標準正規分布
に従う。 したがって、今年の受験者全体のうち、120点以上である受験者の割合
はおよそ
である。
の解答群
については、最も適当なものを、次の
〜
のうちから一つ選べ。
0.16
0.21
0.29
0.34
0.41
0.44
0.50
0.84
(2) この自治体のA地域では、多くの住民がこの資格試験を受験し、過去10年間における合格率が毎年40%(0.4)を超えていた。太郎さんたちは、今年の資格試験の合格率についても0.4より高いと判断してよいかを調べるために、A地域における住民の受験者の中からn人を無作為に選び、その合否を調査することにした。
(i) A地域における住民の今年の資格試験(以下、A地域における今年の資格試験)の受験者全体を母集団とし、母集団の大きさは十分に大きいとする。そして、A地域における今年の資格試験の合格率をpとする。無作為に選ぶn人のうちi番目の受験者が合格している場合は1,合格していない場合は0の値をとる確率変数を
(
)と定義する。このとき、
の確率分布は表1のとおりである。 表 1 | 0 1 | 計 |
| 確 率 | p | 1 |
表1から、
の平均(期待値)
は
となる。
また、
の分散
について から、
は
となる。
,
の解答群(同じものを繰り返し選んでもよい。)
(ii) (i)の
,
,・・・,
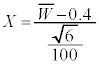
を、表1の確率分布をもつ母集団から抽出した大きさnの無作為標本とみなす。このとき、標本平均を
とおくと、nが十分大きいとき、
は近似的に正規分布
に従う。 この
の確率分布を利用して、pが0.4より高いといえるかを、有意水準5%(0.05)で仮説検定を行い検証したい。ここで、統計的に検証したい仮説を「対立仮説」、対立仮説に反する仮定として設けた仮説を「帰無仮説」とする。このとき、帰無仮説は「
」,対立仮説は「
」である。これらの仮説に対して、有意水準5%で帰無仮説が棄却(否定)されるかどうかを判断する。
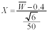
無作為に選ばれた400人のうち、184人が合格者であった。いま、帰無仮説が正しいと仮定する。標本の大きさ
は十分に大きいので、標本平均
は近似的に平均が0.4,標準偏差が
の正規分布に従う。
として用いると の値は
となる。よって、この値をパーセント表示した値は有意水準5%より
。したがって、有意水準5%でA地域における今年の資格試験の合格率は0.4より
。
の解答群
の解答群
については、最も適当なものを、次の
〜
のうちから一つ選べ。
0.0046
0.0062
0.0071
0.0987
0.1112
0.3888
0.4013
0.4929
の解答群
小さいから、帰無仮説は棄却されない
小さいから、帰無仮説は棄却される
大きいから、帰無仮説は棄却されない
大きいから、帰無仮説は棄却される
の解答群
高いと判断できる
高いとは判断できない
(3) 太郎さんと花子さんは、(2)の仮説検定の結果について話している。
太郎:無作為に選ばれた100人のうち46人が合格者でも、比率は同じ0.46になるから、仮説検定の結果は同じになるのかな。
花子:試しに計算して調べてみようよ。
A地域における今年の資格試験の受験者の中から無作為に選ばれた100人のうち、46人が合格者である場合について考える。(2)の(ii)と同じ帰無仮説と対立仮説に対し、有意水準5%で帰無仮説が棄却されるかどうかを調べる。標本の大きさ
は十分に大きいから、(2)の(ii)と同様に、
は近似的に正規分布
に従う。帰無仮説が正しいと仮定する。このとき、
として用いると の値をパーセント表示した値は有意水準5%より
。
したがって、有意水準5%で帰無仮説は
。
の解答群
小さい
大きい
の解答群
棄却される
棄却されない

正規分布表
次の表は、標準正規分布の分布曲線における右図灰色
部分の面積をまとめたものである。
 | 0.00 | 0.01 | 0.02 | 0.03 | 0.04 | 0.05 | 0.06 | 0.07 | 0.08 | 0.09 |
| 0.0 | 0.0000 | 0.0040 | 0.0080 | 0.0120 | 0.0160 | 0.0199 | 0.0239 | 0.0279 | 0.0319 | 0.0359 |
| 0.1 | 0.0398 | 0.0438 | 0.0478 | 0.0517 | 0.0557 | 0.0596 | 0.0636 | 0.0675 | 0.0714 | 0.0753 |
| 0.2 | 0.0793 | 0.0832 | 0.0871 | 0.0910 | 0.0948 | 0.0987 | 0.1026 | 0.1064 | 0.1103 | 0.1141 |
| 0.3 | 0.1179 | 0.1217 | 0.1255 | 0.1293 | 0.1331 | 0.1368 | 0.1406 | 0.1443 | 0.1480 | 0.1517 |
| 0.4 | 0.1554 | 0.1591 | 0.1628 | 0.1664 | 0.1700 | 0.1736 | 0.1772 | 0.1808 | 0.1844 | 0.1879 |
| 0.5 | 0.1915 | 0.1950 | 0.1985 | 0.2019 | 0.2054 | 0.2088 | 0.2123 | 0.2157 | 0.2190 | 0.2224 |
| 0.6 | 0.2257 | 0.2291 | 0.2324 | 0.2357 | 0.2389 | 0.2422 | 0.2454 | 0.2486 | 0.2517 | 0.2549 |
| 0.7 | 0.2580 | 0.2611 | 0.2642 | 0.2673 | 0.2704 | 0.2734 | 0.2764 | 0.2794 | 0.2823 | 0.2852 |
| 0.8 | 0.2881 | 0.2910 | 0.2939 | 0.2967 | 0.2995 | 0.3023 | 0.3051 | 0.3078 | 0.3106 | 0.3133 |
| 0.9 | 0.3159 | 0.3186 | 0.3212 | 0.3238 | 0.3264 | 0.3289 | 0.3315 | 0.3340 | 0.3365 | 0.3389 |
| 1.0 | 0.3413 | 0.3438 | 0.3461 | 0.3485 | 0.3508 | 0.3531 | 0.3554 | 0.3577 | 0.3599 | 0.3621 |
| 1.1 | 0.3643 | 0.3665 | 0.3686 | 0.3708 | 0.3729 | 0.3749 | 0.3770 | 0.3790 | 0.3810 | 0.3830 |
| 1.2 | 0.3849 | 0.3869 | 0.3888 | 0.3907 | 0.3925 | 0.3944 | 0.3962 | 0.3980 | 0.3997 | 0.4015 |
| 1.3 | 0.4032 | 0.4049 | 0.4066 | 0.4082 | 0.4099 | 0.4115 | 0.4131 | 0.4147 | 0.4162 | 0.4177 |
| 1.4 | 0.4192 | 0.4207 | 0.4222 | 0.4236 | 0.4251 | 0.4265 | 0.4279 | 0.4292 | 0.4306 | 0.4319 |
| 1.5 | 0.4332 | 0.4345 | 0.4357 | 0.4370 | 0.4382 | 0.4394 | 0.4406 | 0.4418 | 0.4429 | 0.4441 |
| 1.6 | 0.4452 | 0.4463 | 0.4474 | 0.4484 | 0.4495 | 0.4505 | 0.4515 | 0.4525 | 0.4535 | 0.4545 |
| 1.7 | 0.4554 | 0.4564 | 0.4573 | 0.4582 | 0.4591 | 0.4599 | 0.4608 | 0.4616 | 0.4625 | 0.4633 |
| 1.8 | 0.4641 | 0.4649 | 0.4656 | 0.4664 | 0.4671 | 0.4678 | 0.4686 | 0.4693 | 0.4699 | 0.4706 |
| 1.9 | 0.4713 | 0.4719 | 0.4726 | 0.4732 | 0.4738 | 0.4744 | 0.4750 | 0.4756 | 0.4761 | 0.4767 |
| 2.0 | 0.4772 | 0.4778 | 0.4783 | 0.4788 | 0.4793 | 0.4798 | 0.4803 | 0.4808 | 0.4812 | 0.4817 |
| 2.1 | 0.4821 | 0.4826 | 0.4830 | 0.4834 | 0.4838 | 0.4842 | 0.4846 | 0.4850 | 0.4854 | 0.4857 |
| 2.2 | 0.4861 | 0.4864 | 0.4868 | 0.4871 | 0.4875 | 0.4878 | 0.4881 | 0.4884 | 0.4887 | 0.4890 |
| 2.3 | 0.4893 | 0.4896 | 0.4898 | 0.4901 | 0.4904 | 0.4906 | 0.4909 | 0.4911 | 0.4913 | 0.4916 |
| 2.4 | 0.4918 | 0.4920 | 0.4922 | 0.4925 | 0.4927 | 0.4929 | 0.4931 | 0.4932 | 0.4934 | 0.4936 |
| 2.5 | 0.4938 | 0.4940 | 0.4941 | 0.4943 | 0.4945 | 0.4946 | 0.4948 | 0.4949 | 0.4951 | 0.4952 |
| 2.6 | 0.4953 | 0.4955 | 0.4956 | 0.4957 | 0.4959 | 0.4960 | 0.4961 | 0.4962 | 0.4963 | 0.4964 |
| 2.7 | 0.4965 | 0.4966 | 0.4967 | 0.4968 | 0.4969 | 0.4970 | 0.4971 | 0.4972 | 0.4973 | 0.4974 |
| 2.8 | 0.4974 | 0.4975 | 0.4976 | 0.4977 | 0.4977 | 0.4978 | 0.4979 | 0.4979 | 0.4980 | 0.4981 |
| 2.9 | 0.4981 | 0.4982 | 0.4982 | 0.4983 | 0.4984 | 0.4984 | 0.4985 | 0.4985 | 0.4986 | 0.4986 |
| 3.0 | 0.4987 | 0.4987 | 0.4987 | 0.4988 | 0.4988 | 0.4989 | 0.4989 | 0.4989 | 0.4990 | 0.4990 |
| 3.1 | 0.4990 | 0.4991 | 0.4991 | 0.4991 | 0.4992 | 0.4992 | 0.4992 | 0.4992 | 0.4993 | 0.4993 |
| 3.2 | 0.4993 | 0.4993 | 0.4994 | 0.4994 | 0.4994 | 0.4994 | 0.4994 | 0.4995 | 0.4995 | 0.4995 |
| 3.3 | 0.4995 | 0.4995 | 0.4995 | 0.4996 | 0.4996 | 0.4996 | 0.4996 | 0.4996 | 0.4996 | 0.4997 |
| 3.4 | 0.4997 | 0.4997 | 0.4997 | 0.4997 | 0.4997 | 0.4997 | 0.4997 | 0.4997 | 0.4997 | 0.4998 |
| 3.5 | 0.4998 | 0.4998 | 0.4998 | 0.4998 | 0.4998 | 0.4998 | 0.4998 | 0.4998 | 0.4998 | 0.4998 |
【広告】ここから広告です。ご覧の皆さまのご支援ご理解を賜りたく、よろしくお願いいたします。
【広告】広告はここまでです。
解答 正規分布と仮説検定に関する問題です。教科書の例題レベルなので、問題ないでしょう。
(1) 得点を表す確率変数Xが、正規分布
に従うので、
とおくと、Yは、標準正規分布
に従います。 ア 1 ......[答] 120点以上である受験者の割合
は、
のとき
,正規分布表の0.16のところを読むと、0.0636(
)です。
は、 これに最も近いのは0.44です。 イ 5 ......[答]
(2)(i)
の平均
は、
ウ 0 ......[答]
の分散
は、
エ 3 ......[答]
(ii) 母平均m,母標準偏差σの母集団から大きさnの標本を抽出するとき、標本平均はm,標本標準偏差は
となり、nが充分に大きいとき、標本平均は近似的に正規分布
に従う(母集団と標本を参照)ので、
は、近似的に正規分布
に従います。 オ 7 ......[答] 標本平均
は近似的に、平均が
,標準偏差が
の正規分布に従います。 カ 2 ......[答]
かどうかを有意水準5%で仮説検定するので、帰無仮説は「
」,対立仮説は「
」です(推定を参照)。
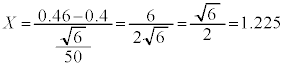
とおくと、Xは標準正規分布
に従います。正規分布表で、 のところを読むと、0.4929なので、
は、
です。 キ 2 ......[答]この値をパーセント表示すると、0.71%で、有意水準5%より小さい(
ということは起こりそうもない)ので、帰無仮説は棄却されます。
ク 1 ......[答]従って、有意水準5%でA地域における今年の資格試験の合格率は0.4より高いと判断できます。 ケ 0 ......[答]
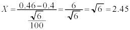
(3) 標本の大きさを100にすると、標本の標準偏差は
になります。帰無仮説「
」は、
とおくと、Xは正規分布
に従い、正規分布表で、 のところを読むと、ほぼ0.3898くらいで、
は、
,この値をパーセント表示すると11.02%で、有意水準5%よりも大きい(
ということがあり得る)ので、有意水準5%では帰無仮説「
」は棄却されず、A地域における今年の資格試験の合格率は0.4より高いと判断できなくなります。 コ 1 サ 1 ......[答]
【広告】ここから広告です。ご覧の皆さまのご支援ご理解を賜りたく、よろしくお願いいたします。
【広告】広告はここまでです。
数学TOP TOPページに戻る
【広告】ここから広告です。ご覧の皆さまのご支援ご理解を賜りたく、よろしくお願いいたします。
【広告】広告はここまでです。
各問題の著作権は
出題大学に属します。なお、解答は、
苦学楽学塾制作です。©2005-2026(有)りるらる 苦学楽学塾 随時入会受付中!理系大学受験ネット塾苦学楽学塾(ご案内はこちら)ご入会は、
まず、こちらまでメールを
お送りください。