東京科学大医歯学系数学'25年前期[2]
xy平面上に3点O
,A
,B
をとる。さらに、
となる整数m,nが存在するようなxy平面上の点P全体の集合をLとする。このとき、以下の各問いに答えよ。
(2) Lに属する点のうち、x軸上にあるものをすべて求めよ。
(3) 2点
,
をLの要素とする。Lの任意の要素Pに対して、
(4) 任意のLの要素Pに対して、内積
が整数となるようなxy平面上の点Q全体の集合をMとする。Mの要素のうち、x座標およびy座標の絶対値がともに1以下であるものをすべて求めよ。
【広告】ここから広告です。ご覧の皆さまのご支援ご理解を賜りたく、よろしくお願いいたします。
【広告】広告はここまでです。
解答 ベクトルの1次独立性をネタにした整数の問題です。以下の解法はやや発見的手法ですが、Lの要素全体で
の最小値を考えるのでは大変です。
・・・@
(1)
とすると、
・・・A
・・・BB−A×2より、
,
整数m,nが存在するので、
とすると、
・・・C
・・・D
・・・E
・・・FF−E×2より、
,
整数m,nが存在するので、
よって、
と
はLに属するが、
はLに属さない ......[答]
(2)
とすると、
・・・G
・・・HLに属する点のうち、x軸上にあるものは、
(k:整数) ......[答]
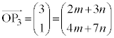
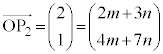
(3) Lの要素Pは平面上に分布するので、
,
は1次独立である必要があります。つまり、
,
であり、O,
,
は一直線上にはありません。その上で、
を最小とする
,
を求めるので、
,
が1次独立であって、かつ原点の近くにある
,
を求めます。そこで、Lの要素で原点Oの近くにあるものを調べます。 (2)と同様にして、
上にあるLの要素を調べます。 となるので、J−Kとして、
(この解法については、不定方程式を参照)
は4の倍数で、lを整数として
とおくと、
,
Iに代入すると、
Lに属する点のうち、
上にあるものは、
(l:整数) ・・・L
上にあるLの要素を調べます。 となるので、N−Oとして、
は4の倍数で、jを整数として
とおくと、
,
Mに代入すると、
Lに属する点のうち、
上にあるものは、
(j:整数) ・・・P(2)の結果より、
上のLの要素で原点でなく原点に近いものは、
の
と
の
で、原点との距離は2です。
Lより、
上のLの要素で原点に近いものは、
の
と
の
で、原点との距離は
です。
Pより、
上のLの要素で原点に近いものは、
の
と
の
で、原点との距離は
です。Lの要素で、
,
,
,
よりも原点Oに近いものはありません。
そこで、
,
,
,
の4つのうちから一直線上にない2つを選びます(どのように選んでも同じ結果を与えます)。例えば、
,
とすると、Lの任意の要素は@よりm,nを任意の整数として、
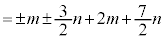
として与えられますが、 としてみると、
辺々加えると、
∴
,
これより、整数
,
が存在します。
以上より、
の最小値は
......[答]
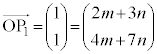
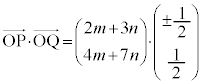
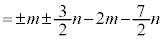
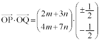
(4)
,
,
とします。まず、
としてLの要素であることが確認されている、
,
を考えてみます。
・・・Q (内積を参照)kは整数です。
・・・Rlは整数です。
R−Qより、
は整数です。
を満たすものは、
,
,
です。
R−Q×3より、
は整数です。
を満たすものは、
,
,
です。Lの任意の要素
(m,nは整数)に対して、
として、
のとき、 は整数です。
として、
のとき、
(複号同順)はnが奇数のとき整数になりません。
のとき、
(複号同順)はnが奇数のとき整数になりません。
のとき、
(複号同順)
(複号同順)は、
か
ですが、いずれも整数です。
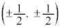
以上より、Mの要素のうち、x座標およびy座標の絶対値がともに1以下であるものは、
,
,
,
,
(複号任意) ......[答]
【広告】ここから広告です。ご覧の皆さまのご支援ご理解を賜りたく、よろしくお願いいたします。
【広告】広告はここまでです。
東京科学大数学TOP 数学TOP TOPページに戻る
【広告】ここから広告です。ご覧の皆さまのご支援ご理解を賜りたく、よろしくお願いいたします。
【広告】広告はここまでです。
各問題の著作権は
出題大学に属します。なお、解答は、
苦学楽学塾制作です。©2005-2025(有)りるらる 苦学楽学塾 随時入会受付中!理系大学受験ネット塾苦学楽学塾(ご案内はこちら)ご入会は、
まず、こちらまでメールを
お送りください。