慶大理工数学'26年[2]
空間内に点Pと平面αをとる。点Pと平面α上の3点O,A,Bに対して、
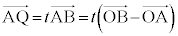
が成り立つとする。線分AB上の点Qを、
と
が垂直であるようにとる。
(1)
である。 (2)
とおく。このとき、t の値およびそれを求める過程を解答欄(2)に記述しなさい。 (3)
である。 (4) 点Pを通り平面αに垂直な直線とαの交点をHとする。このとき、実数kとlを用いて
と表すと、
となる。 (5) 点Pが平面α上にあるのは、
の値が
または
のときである。
【広告】ここから広告です。ご覧の皆さまのご支援ご理解を賜りたく、よろしくお願いいたします。
【広告】広告はここまでです。
解答 (5)でP→Hと考えれば、あとは問題文の流れに沿って解答するだけです。
・・・A
より、@を用いて、
∴ 
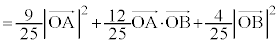
(3)
をAに代入し、
・・・B @を用いて、
∴
......[ク]
(4) 点Pを通り平面αに垂直な直線とαの交点をHとするので、
は、平面α上の任意のベクトルと垂直です。よって、
は
と垂直です。
より、 @と
を用いて、 ∴
......[ケ]
(5) 点Pが平面α上にくるとき、P→Hと考えると、(4)より、
と表せます。
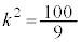
より、 (3)の結果、@,
を用いて、 @を用いて、
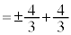
これと@を用いて、Cより、

(複号同順)複号の正をとると、
,複号の負をとると、
......[コ] 0 ......[サ]
【広告】ここから広告です。ご覧の皆さまのご支援ご理解を賜りたく、よろしくお願いいたします。
【広告】広告はここまでです。
慶大理工数学TOP 数学TOP TOPページに戻る
【広告】ここから広告です。ご覧の皆さまのご支援ご理解を賜りたく、よろしくお願いいたします。
【広告】広告はここまでです。
各問題の著作権は
出題大学に属します。なお、解答は、
苦学楽学塾制作です。©2005-2026(有)りるらる 苦学楽学塾 随時入会受付中!理系大学受験ネット塾苦学楽学塾(ご案内はこちら)ご入会は、
まず、こちらまでメールを
お送りください。