慶大理工数学'26年[3]
表の出る確率が
の硬貨が1枚ある。nを正の整数とする。
(1) 硬貨をn回投げ、表が出た回数をaとする。さらに続けて硬貨をn回投げたうちで、表が出た回数をbとする。このとき、aとbの積が0である確率をnの式で表すと
である。「aとbの和が0である」という事象の起こる場合の数を
とおく。
のとき、
である。また、
である。ただし、
はxの自然対数とする。 (2) 硬貨をn回投げ、表が出た回数をcとする。さらに続けて硬貨を
回投げたうちで、表が出た回数をdとする。このとき、「
である」という事象をCとし、「
である」という事象をDとする。
のとき、事象Dの起こる確率は
である。また、一般のnに対して、事象Dが起こったときに事象Cの起こる条件付き確率は
である。
【広告】ここから広告です。ご覧の皆さまのご支援ご理解を賜りたく、よろしくお願いいたします。
【広告】広告はここまでです。
解答 こういう問題で、塾の先生は、最初から一般のnで話を進めて、後で
とか
を代入し、時間の節約と言うかも知れませんが、試験場でまごつかないようにするためには、仮に、(ス),(ソ)がない問題でも、
や
の場合を調べて、問題の核心をつかんでから答えるようにしましょう。
(1) aとbの積が0,ということは、
または
,ということです。 硬貨をn回投げ、表が出た回数が0となる確率は、n回すべて裏(確率
)だったという場合の確率で
です。
硬貨をn回投げて
となる確率も、さらに続けて硬貨をn回投げて
となる確率も
ですが、両者の間には、硬貨を通算
回投げてすべて裏が出る場合が重複しています。硬貨を通算
回投げてすべて裏が出る確率は
です。aとbの積が0である確率は、
......[シ]
のとき、
となるのは、
,
,
,
,
,
となる場合です。5回投げて表が0回出る場合は、5回から表の出る0回を選ぶのが
通り。5回投げて表が1回出る場合は、5回から表の出る1回を選ぶのが
通り。5回投げて表が2回出る場合は、5回から表の出る2回を選ぶのが
通り。5回投げて表が3回出る場合は、5回から表の出る3回を選ぶのが
通り。5回投げて表が4回出る場合は、5回から表の出る4回を選ぶのが
通り。5回投げて表が5回出る場合は、5回から表の出る5回を選ぶのが
通り。
,
,
より、
,
となる場合は、
通り。
,
となる場合は、
通り。
,
となる場合は、
通り。
,
となる場合は、
通り。
,
となる場合は、
通り。
,
となる場合は、
通り。
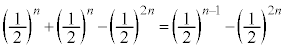
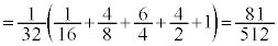
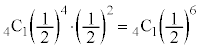
のとき、
となる場合の数
は、
252 ......[ス]硬貨をn回投げて表がm回(
)出る場合は、n回から表の出るm回を選ぶのが
通り。
硬貨をn回投げ、表が出た回数をaとし、さらに続けて硬貨をn回投げたうちで、表が出た回数をbとして、
となるのは、
,
,
,・・・,
となる場合です。
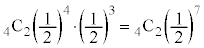
,
となる場合は、
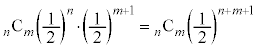
より、
通り。
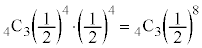
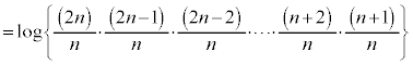
となる場合の数
は、 一方、
を、硬貨を
回投げるのを通算して考え、このうち表がn回出る場合の数と見ると、
通り 注.これより、
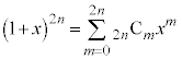
という公式が得られます。この公式は、通常は、
と、
の
の係数が一致することによって証明します。
より、
(2) cは
の可能性があります。
となる確率は
です。さらに続けて
回投げたうち表が出た回数が
となる確率は
,
,
となる確率は、
となる確率は
です。さらに続けて
回投げたうち表が出た回数が
となる確率は
,
,
となる確率は、
となる確率は
です。さらに続けて
回投げたうち表が出た回数が
となる確率は
,
,
となる確率は、
となる確率は
です。さらに続けて
回投げたうち表が出た回数が
となる確率は
,
,
となる確率は、
となる確率は
です。さらに続けて
回投げたうち表が出た回数が
となる確率は
,
,
となる確率は、
のとき事象Dが起こる確率は、一般のnに対して、硬貨をn回投げ、
(
)となる確率は、
です。さらに続けて
回投げたうち表が出る回数が
となる確率は
,
,
となる確率は、
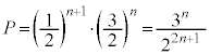
・・・@このとき、さらに硬貨をn回投げ、Dが起こる確率Pは、
,
となる確率Qは@より、
事象Dが起こったときに事象Cの起こる条件付き確率
は、
......[タ]
【広告】ここから広告です。ご覧の皆さまのご支援ご理解を賜りたく、よろしくお願いいたします。
【広告】広告はここまでです。
慶大理工数学TOP 数学TOP TOPページに戻る
【広告】ここから広告です。ご覧の皆さまのご支援ご理解を賜りたく、よろしくお願いいたします。
【広告】広告はここまでです。
各問題の著作権は
出題大学に属します。なお、解答は、
苦学楽学塾制作です。©2005-2026(有)りるらる 苦学楽学塾 随時入会受付中!理系大学受験ネット塾苦学楽学塾(ご案内はこちら)ご入会は、
まず、こちらまでメールを
お送りください。