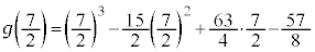
早大理工数学'26年[1]
次の関数
について、以下の問に答えよ。
(1)
の極大値Mと極小値mを求めよ。 (2) (1)で求めたM,mに対して、
における
の最大値がM,最小値がmとなるような実数の組
のうち、
が最小となる組を求めよ。
【広告】ここから広告です。ご覧の皆さまのご支援ご理解を賜りたく、よろしくお願いいたします。
【広告】広告はここまでです。
解答 (2)はひっかけ問題です。極大の位置から極小の位置までと、安直に決めつけないように注意しましょう。3次関数では、
となるのは極大のところだけではありません。
となるのも極小のところだけではありません。
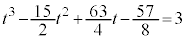
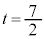
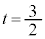
とおくと、
,
より、
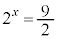
(
とおきます、指数関数を参照) ・・・@
とすると、
の増減表は、
が増加するとxも増加するので、
の増減と
の増減は一致し、
が極大のとき
も極大、
が極小のとき
も極小です。
のとき、
,
のとき、
,
極大値
(
のとき),極小値
(
のとき) ......[答]
(2)
とすると、@より、
・・・AAは、
となりますが、
(
)です。
のとき、
,
ですが、
において
は増加しています。 ・・・B
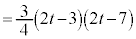
とすると、@より、
・・・C重解
以外の解をβとして、解と係数の関係より、
∴
Cは、
となりますが、
(
)です。
のとき、
,
ですが、
において
は増加しています。 ・・・D
以上に基づいて、範囲
における
の最大値、最小値を考えます。(1)の増減の結果とBより、
とすると、最大値はMより大きくなります。(1)の増減の結果とDより、
とすると、最小値はmより小さくなります。
この点に注意すると、
の最大値がM,最小値がmになる
の組は、範囲
が
となるx,
となるxをともに含むものとして、以下の場合が考えられます。 (i)
,
(ii)
,
(iii)
,
各々の場合で
が最小になるものを考えます。 (i),(ii),(iii)の最小の場合を比較すると(対数関数を参照)、
より、
における
の最大値がM,最小値がmとなるような実数の組
のうち、
が最小となる組は、
......[答]
【広告】ここから広告です。ご覧の皆さまのご支援ご理解を賜りたく、よろしくお願いいたします。
【広告】広告はここまでです。
早大理工数学TOP 数学TOP TOPページに戻る
【広告】ここから広告です。ご覧の皆さまのご支援ご理解を賜りたく、よろしくお願いいたします。
【広告】広告はここまでです。
各問題の著作権は
出題大学に属します。なお、解答は、
苦学楽学塾制作です。©2005-2026(有)りるらる 苦学楽学塾 随時入会受付中!理系大学受験ネット塾苦学楽学塾(ご案内はこちら)ご入会は、
まず、こちらまでメールを
お送りください。