早大理工数学'26年[2]
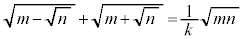
kを自然数とする。方程式
を満たす自然数の組
を自然数解と呼ぶ。以下の問に答えよ。
(1) 自然数解
が存在するならば、
であることを示せ。 (2) それぞれのkに対して、自然数解が少なくとも1つ存在し、その個数は
より小さいことを示せ。 (3)
のとき、自然数解をすべて求めよ。
【広告】ここから広告です。ご覧の皆さまのご支援ご理解を賜りたく、よろしくお願いいたします。
【広告】広告はここまでです。
解答 2重根号を外す公式:
(複号同順)をネタにした整数の問題です。2乗するときに、2乗するものの正負の確認を忘れると行き詰ります。
・・・@
両辺を2乗すると、

・・・A
(1) ここで左辺は0以上なので
,即ち、自然数解
が存在するとき、
より
・・・B さらに両辺を2乗すると、
をかけて、
・・・Cこれより、
・・・D
B,Dより、自然数解
が存在するならば、
よって、題意は示されました。
∴
・・・E
またCにおいて、n,
は自然数なので
も自然数であり、
は
の約数であって、
・・・F
E,Fより、
・・・G
(2) (1)(*)より、
は
の約数ですが、
なので、Gを満たす約数として、
があります。このときCより、 このnは、(1)の
を満たしています。自然数mは
となりますが、 
(複号同順)@左辺に代入すると、
となり、@を満たすので、それぞれのkに対して、自然数解
が1つ存在します。(1)(*)より、
は自然数です。Gより
,
,よって、
∴
,
・・・H
は有理数ですが、自然数でない有理数で、2乗が平方数でない自然数だとすると、
が無理数となり矛盾するので、
も自然数です。それぞれのkに対して、Hを満たす自然数は
個未満で、Hを満たすmも
個未満であり、mが決まればCによりnも1通りに決まるので、自然数解
の個数も
よりも小さくなります。
(3)
のとき、Cは
・・・I Hは
となります。これを満たす自然数
は、
なので
です。このうちmが自然数になるのは、
のとき、Iより、
のとき、Iより、
のとき、Iより、
(1)の
は、
となりますが、上記3通りはこれを満たしています。
よって、自然数解は、
,
,
......[答]
【広告】ここから広告です。ご覧の皆さまのご支援ご理解を賜りたく、よろしくお願いいたします。
【広告】広告はここまでです。
早大理工数学TOP 数学TOP TOPページに戻る
【広告】ここから広告です。ご覧の皆さまのご支援ご理解を賜りたく、よろしくお願いいたします。
【広告】広告はここまでです。
各問題の著作権は
出題大学に属します。なお、解答は、
苦学楽学塾制作です。©2005-2026(有)りるらる 苦学楽学塾 随時入会受付中!理系大学受験ネット塾苦学楽学塾(ご案内はこちら)ご入会は、
まず、こちらまでメールを
お送りください。