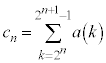
早大理工数学'26年[4]
とし、
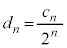
,
,
,・・・を次の関係で定める。
以下の問に答えよ。
(1)
,
を求めよ。 (2) 自然数nに対して、
は、1または2のいずれかの値をとるような
,
,・・・,
を用いて、 (3) 自然数nに対して、
を求めよ。
【広告】ここから広告です。ご覧の皆さまのご支援ご理解を賜りたく、よろしくお願いいたします。
【広告】広告はここまでです。
解答 難問です。(2)が(3)のヒントになっているのだろう、と発想するとうまく行きません。
や
が求められても(
も求められますが)、
と
(
)の間が分かりません。
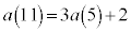
@で
とすると、
,
@で
とすると、
,
@で
とすると、
,
よって、
,
......[答]
(2)
,
・・・A とやっていくと、
,
・・・(*)と予測できます。
これをまず証明します。
のとき、Aより成り立ちます。
のとき、(*)が成立すると仮定します。
,
・・・B
のとき、@で
とすると、Bを用いて、 より、
のときも(*)が成立します。 数学的帰納法により、すべての自然数nについて、(*)が成立します。(*)より、 よって、
,
......[答]
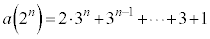
(3) (2)をどうやって使うのだろう、と、まず考えると思いますが、(2)と同様のことを
,
,
,・・・についてやろうとすると、
,
,・・・のでき方がバラバラで破綻します。 そこで、問題文中の
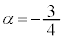
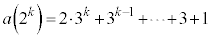
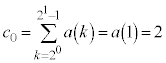
や
(Σの公式を参照)の
をヒントとして考えます。上にも書いたように、
と
(
)の間を一つずつ調べても分からないので、
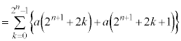
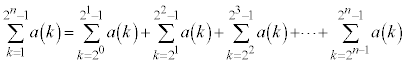
の中を幾つかに分けてまとめることを考えます。まとめるとすると、
,
で区切って、
がどうなっているかを調べ、後で、この和を求めればよい、ということになります。
例えば、
から
までを考えると、 これらの和を考えると、
になっています。これで、漸化式を作れそうです。
から
までの和は
から
までの和であり、
の4は、
から
までの項数
です。
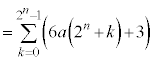
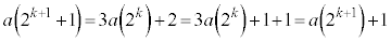
そこで、
・・・Cとして
の漸化式を作ります。
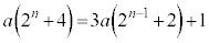
(2項ずつの組で考え、偶数番目と奇数番目に分ける)
(∵ @でnを
とした)
(
番目から
番目の和を考えている)
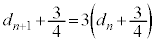
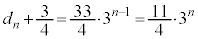
注.
を初項と考えることもできます。 Dの両辺を
で割ると、
とおいて、
・・・E
・・・Fとすると、
E−Fより、
よって、数列
は、公比3,初項
の等比数列です。
,
∴
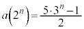
・・・G
なので、Gは
でも成り立ちます。
として確かめると、 Gでは、
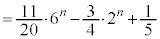
Cを用いて、求める和は、 注.確かめてみます。
のとき、
のとき、
【広告】ここから広告です。ご覧の皆さまのご支援ご理解を賜りたく、よろしくお願いいたします。
【広告】広告はここまでです。
早大理工数学TOP 数学TOP TOPページに戻る
【広告】ここから広告です。ご覧の皆さまのご支援ご理解を賜りたく、よろしくお願いいたします。
【広告】広告はここまでです。
各問題の著作権は
出題大学に属します。なお、解答は、
苦学楽学塾制作です。©2005-2026(有)りるらる 苦学楽学塾 随時入会受付中!理系大学受験ネット塾苦学楽学塾(ご案内はこちら)ご入会は、
まず、こちらまでメールを
お送りください。