レンズ 関連問題
【広告】ここから広告です。ご覧の皆さまのご支援ご理解を賜りたく、よろしくお願いいたします。
【広告】広告はここまでです。
ガラスでできている球を平面で切るときの小さい側、あるいは、小さい側を2個切り口を背にして貼り合わせたものを凸レンズと言う。
ガラス板の1つの面を球面で切り取った残りの側、あるいは、両面を球面で切り取った残りの側を凹レンズと言う。
凸レンズ、凹レンズに対し、2つの球の中心を結ぶ直線、もしくは、凸レンズ、凹レンズの片面をなす平面に垂直で球の中心を通る直線を光軸と言う。
光軸と平行に進んできた光線は、凸レンズの球面状表面で屈折して1点に集まるように進む。この点を凸レンズの焦点と言う。光軸と平行に進んできた光線は、凹レンズの球面状表面では、あたかもある1点から出てきて直進するかのように屈折して進む。この点を凹レンズの焦点と言う。
焦点は、レンズの物体側にも、物体と反対側にも存在する。
レンズの中心と焦点との距離を焦点距離と言う。
物体から出てレンズの中心を通過した光線はそのまま直進する。
物体から出て、凸レンズの物体側焦点を通過した光線は、凸レンズの球面状表面で屈折した後、光軸と平行に進む。
物体ABが凸レンズの焦点よりも遠くに置かれた場合、物体の各点から出ていろいろな方向に進んだ光線は、凸レンズを通過した後に、右図のように、線分
上に集まり、ここに像を作る。スクリーンを置くと、元の物体と同じ形が映って見えるので実像と言う。凸レンズの実像は、元の物体が倒立して見える。
物体ABが凸レンズの焦点よりも近くに置かれた場合、凸レンズを通過した光線は実像を作らず、右図のように、凸レンズの物体側に虚像を作る。虚像
は、そこにスクリーンを置いても、元の物体と同じ形は見えない。また、元の物体と同じ向きとなり正立して見える。レンズを通過後の光は、あたかも虚像位置に物体があって、そこから光が直進しているかのように進む。
物体ABが凹レンズの前に置かれた場合、右図のように、凹レンズの物体側に虚像
ができる。虚像は正立して見える。
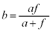
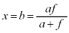
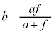
凸レンズで倒立の実像ができる場合、物体とレンズとの距離をa,レンズと像との距離をb,焦点距離をf とすると、
・・・(*) が成立する(この公式を、このウェブサイトでは「レンズの公式」と呼ぶことにします)。
凸レンズで倒立の実像ができる場合では、
,
であるが、凸レンズで正立の虚像ができる場合は、虚像は物体側にできるので、
として考えれば(*)が成立する。
また、凹レンズで虚像が物体側にできる場合も、
,
として考えれば(*)が成立する。
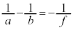
像の大きさと元の物体の大きさの比を倍率と言うが、倍率mは、いずれの場合も、
で与えられる。
公式(*)を凸レンズ、凹レンズの場合に分けて導いてみます。以下、レンズになっているガラスの屈折率をn,外側の空気の屈折率を1とし、レンズは充分に薄く、ラジアン単位で測った各角θ は充分に小さく、
・・・@ が成り立つとします。
(1) 凸レンズ
光軸上に置かれた点光源Aから出た光が、凸レンズの左側の面上の点Pで屈折する状況を右図に示します。Pから光軸に垂線PHを下ろし、
,
,光軸とAPのなす角をα,凸レンズの球面の中心をOとして半径OPと光軸のなす角を
,光軸と屈折光のなす角をφ,
とします。
点Pで屈折するときの入射角は
,屈折角は
なので、屈折の法則より、@より、
・・・Aまた、右図より、
,
@より、
,
これをAへ代入し、
・・・B
Bによって屈折した光が、凸レンズの右側の面上の点Qで屈折して光軸上の点Bに到達する状況を右図に示します。Qから光軸に垂線QJを下ろし、
,
,光軸とBQのなす角をβ,半径OQと光軸のなす角を
,
とします(左側の球面と右側の球面の半径が同一とは限りません)。
点Qで屈折するときの入射角は
,屈折角は
なので、屈折の法則より、@より、
・・・Cまた、右図より、
,
@より、
,
これをCに代入し、

・・・D以下では、レンズが充分に薄く
とし、
として考えることにします。
DをBに代入すると、
で割って整理すると、
・・・E右辺を
とおけば、レンズの公式(*)が得られます。 (2) 凹レンズ
光軸上に置かれた点光源Aから出た光が、凹レンズの左側の面上の点Pで屈折する状況を右図に示します。Pから光軸に垂線PHを下ろし、
,
,光軸とAPのなす角をα,凹レンズの球面の中心をOとして半径OPと光軸のなす角を
,光軸と屈折光のなす角をφ,
とします。
点Pで屈折するときの入射角は
,屈折角は
なので、屈折の法則より、@より、
・・・Fまた、右図より、
,
@より、
,
これをAへ代入し、
・・・G
Cによって屈折した光が、凹レンズの右側の面上の点Qで屈折し、あたかも光軸上の点Bから出て直進するかのように進む状況を右図に示します。Qから光軸に垂線QJを下ろし、
,
,光軸とBQのなす角をβ,半径OQと光軸のなす角を
,
とします。この状況は、凸レンズのときの右側レンズ面における屈折と同一で、ここでもDが得られます。をGに代入すると、
で割って整理すると、これは、E式のbと
の符号を変えたものに相当します。
以上より、凸レンズで
となる位置に物体を置き実像が物体と反対側にできる場合(
,
)と、凹レンズの場合(
,
)について、レンズの公式(*)が成り立ちます。
なお、入試では、特別な場合を除いて、レンズの左面での屈折、右面での屈折を分けて考えずに、レンズの中心面上で屈折するように作図すればOKです。
教科書流にレンズの公式(*)を導いてみます。
(1) 凸レンズ
右図で、Aから出て光軸に平行に進んだ光線は、凸レンズの点Cで屈折して焦点
に向かって進みます。Aから出て凸レンズの中心Oを通過した光線はそのまま直進し、Cで屈折して進んできた光線と
で交わり、物体ABの実像
を作ります。
三角形ABOと三角形
は相似なので、∴
・・・I
H,I,
より、 bで割って整理すると、
なお、@式が凸レンズの倍率
を与えます。 (2) 凹レンズ
右図で、Aから出て光軸に平行に進んだ光線は、凹レンズの点Cで屈折して焦点
から出て直進するかのように進みます。Aから出て凹レンズの中心Oを通過した光線はそのまま直進します。
とAOの交点
の位置に物体ABの虚像
ができます。
三角形
と三角形
は相似なので、∴
・・・K
J,K,
より、
で割って整理すると、

これは、公式(*)において、
,
とした式です。なお、J式が凹レンズの倍率
を与えます。
(3) レンズに斜めに入射する光の作図
凸レンズの場合、右図で、Aから出た光が光軸と平行にならない進み方をしてレンズのDに到達するとき、レンズの中心Oを通り、ADに平行な光線を作図します。レンズの中心を通る光線は直進するので、平行線と焦点面(焦点
を通り光軸に垂直な平面)との交点Eを求めることができます。Dで屈折した光は、Eを通るように進みます。直線DEはAの像
を通過します。
凹レンズの場合、右図で、Aから出た光が光軸と平行にならない進み方をしてレンズのDに到達するとき、レンズの中心Oを通り、ADに平行な光線を作図します。この平行線と焦点面(凹レンズの場合は、像は物体側にできるので、焦点
を通り光軸に垂直な平面)との交点Eを求めることができます。Dで屈折した光は、Eから出たように進みます。直線DEはAの像
を通ります。
凹レンズの場合でこの作図法を確かめてみます。
光軸に垂直なレンズ(焦点距離f )の中心を原点Oとし光軸をx軸,光軸と垂直にy軸をとります。
に大きさdの細い棒状の物体があるとします。物体は
と
の間に存在します。棒の先端
からレンズに向う光線の直線の式をとします。この光線はレンズ上の点
に到達し、ここで屈折します。
レンズの公式より、物体の像が
にできるとすると、凹レンズであることに注意して、
,つまり、
です。
この光線と平行でレンズの中心を通る直線は
です。この直線と焦点面
との交点は
です。
屈折光線、つまり、
と
を結ぶ直線は、
・・・Lここで、
とすると、
【広告】ここから広告です。ご覧の皆さまのご支援ご理解を賜りたく、よろしくお願いいたします。
【広告】広告はここまでです。
物理基礎事項TOP 物理TOP TOPページに戻る
【広告】ここから広告です。ご覧の皆さまのご支援ご理解を賜りたく、よろしくお願いいたします。
【広告】広告はここまでです。
各問題の著作権は
出題大学に属します。なお、解答は、
苦学楽学塾制作です。©2005-2026(有)りるらる 苦学楽学塾 随時入会受付中!理系大学受験ネット塾苦学楽学塾(ご案内はこちら)ご入会は、
まず、こちらまでメールを
お送りください。