“Œ‹ž‰ÈŠw‘å—HŠwŒn•¨—'25”N‘OŠú[2]
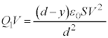
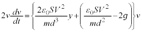
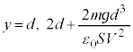
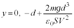
}‚̂悤‚ÉA^‹ó’†‚É–ÊÏS‚Ì2–‡‚̉~Œ`‚̋ɔ‚ðA’†S޲‚ð‡‚킹‚Ä…•½‚ɌŒ肵A㉺‚̋ɔŠԂɋN“d—ÍV‚Ì’¼—¬“dŒ¹‚Æ“d—¬Œv‚ð‚‚Ȃ®BŽŸ‚ÉA‹É”‚Ɠ¯‚¶–ÊςŎ¿—Êm‚Ì“±‘̉~”‚ðA‹É”ŠԂɒ†S޲‚ð‡‚킹‚Ä‘}“ü‚·‚éB“±‘̉~”Â‚Í‹É”ÂŠÔ‚ð‰”’¼•ûŒü‚Ɉړ®‚Å‚«‚邪A‚»‚ÌÛA‹É”‚ƕ½s‚ð•Û‚¿A‚©‚Â…•½•ûŒü‚É‚¸‚ê‚邱‚ƂȂ“®‚‚à‚̂Ƃ·‚éB‚Ü‚½A“±‘̉~”‚̌ú‚³‚͋ɔŠԂ̋——£d‚Æ”ä‚ׂÄ\•ª¬‚³‚¢‚Æ‚·‚éB‹É”Â’[•”‚⓱‘̉~”Â’[•”‚É‚¨‚¯‚é“dê‚Ì—‚ê‚Í–³Ž‹‚Å‚«‚éB‹É”ÂA“±‘̉~”ÂA“±ü‚Ì’ïRA‚¨‚æ‚Ñ“dŒ¹‚Æ“d—¬Œv‚Ì“à•”’ïR‚Í–³Ž‹‚Å‚«‚éB‹É”‚Ɠ±‘̉~”‚ÌÚGŽž‚É‚¨‚¯‚é“d‰×‚̈ړ®‚Í‘¬‚â‚©‚É‹N‚±‚é‚à‚̂Ƃ·‚éB^‹ó‚Ì—U“d—¦‚ð
Cd—͉Á‘¬“x‚̑傫‚³‚ð
‚Æ‚·‚éB
[A]@“±‘̉~”Â‚ð‰º‚Ì‹É”Â‚ÆÚG‚³‚¹A‚»‚Á‚ÆŽè‚ð‚͂Ȃ·B’¼—¬“dŒ¹‚Ì‹N“d—ÍV‚ª‚ ‚é’l‚æ‚è‚à’Ⴏ‚ê‚ÎA“±‘̉~”‚͓®‚©‚È‚¢B‚±‚̂Ƃ«AˆÈ‰º‚ÌÝ–â‚É“š‚¦‚æB
(a) “±‘̉~”‚Ìã–ʂɶ‚¶‚é“d‰×‚ð‹‚ß‚æB
(b) ã‚̋ɔ‚Ɠ±‘̉~”‚Å\¬‚³‚ê‚镽s”ƒRƒ“ƒfƒ“ƒT[‚É’~‚¦‚ç‚ꂽÓdƒGƒlƒ‹ƒM[‚ð‹‚ß‚æB
[B]@“±‘̉~”Â‚ð‰º‚Ì‹É”Â‚ÆÚG‚³‚¹A‚»‚Á‚ÆŽè‚ð‚͂Ȃ·B’¼—¬“dŒ¹‚Ì‹N“d—ÍV‚ª‚ ‚é’l‚æ‚è‚à‚‚¯‚ê‚ÎA“±‘̉~”‚͕‚ã‚ðŽn‚ß‚éB‰º‚̋ɔ‚̕\–Ê‚©‚瓱‘̉~”‚܂ł̋——£‚ðy‚Æ‚·‚éB‚±‚̂Ƃ«AˆÈ‰º‚ÌÝ–â‚É“š‚¦‚æB
‚Í‚¶‚ß‚ÉA•‚㎞‚É‚¨‚¯‚铱‘̉~”‚̉^“®‚ðl‚¦‚éB
(c) “±‘̉~”‚Ìã–ʂƉº–ʂɶ‚¶‚é“d‰×‚ð‚»‚ê‚¼‚ê‹——£y‚ÌŠÖ”‚Æ‚µ‚Ä‹‚ß‚æB
(d) ㉺‚̋ɔ‚Ɠ±‘̉~”‚Å\¬‚³‚ê‚镽s”ƒRƒ“ƒfƒ“ƒT[‚É’~‚¦‚ç‚ꂽ‘SÓdƒGƒlƒ‹ƒM[‚ð‹——£y‚ÌŠÖ”‚Æ‚µ‚Ä‹‚ß‚æB
(e) “±‘̉~”‚Ì㸑¬“x‚ð‹——£y‚ÌŠÖ”‚Æ‚µ‚Ä‹‚ß‚æB
(f) “d—¬Œv‚𗬂ê‚é“d—¬I‚ð‹——£y‚ÌŠÖ”‚Æ‚µ‚Ä‹‚ß‚æB‚È‚¨A“d—¬I‚Í}’†‚Ì–îˆó‚ÌŒü‚«‚ð³‚Æ‚·‚éB
‚»‚ÌŒãA“±‘̉~”‚Íã‚̋ɔ‚ÉÚG‚·‚éBã‚̋ɔ‚ÉÚG‚µ‚½‚ ‚Æ‚àŠÜ‚߂籑̉~”‚̉^“®‚ðl‚¦‚éB“±‘̉~”‚Ƌɔ‚ƂÌÚG‚ÍŠ®‘S”ñ’e«Õ“˂Ɖ¼’è‚·‚éB
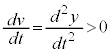
(g) “±‘̉~”‚ª•‚サŽn‚߂鎞‚ð
‚Æ‚µ‚½‚Æ‚«‚ÉAŽžt ‚Æ‹——£y‚ÌŠÖŒW‚Æ‚µ‚ÄÅ‚à‚Ó‚³‚킵‚¢‚à‚Ì‚ðA‰E‚̇@`‡R‚©‚ç‘I‚×B‚È‚¨A
‚Æ
‚ÍŠe}’†‚Å’è‹`‚³‚ê‚鎞ŠÔ‚Å‚ ‚éB
yLz‚±‚±‚©‚çL‚Å‚·B‚²——‚ÌŠF‚³‚܂̂²Žx‰‡‚²—‰ð‚ðŽ’‚è‚½‚A‚æ‚낵‚‚¨Šè‚¢‚¢‚½‚µ‚Ü‚·B
yLzL‚Í‚±‚±‚܂łł·B
‰ð“š@–{–â‚à[1]‚Æ“¯—l‚ÉŠî‘bŽ–€‚ÉŠÖ‚·‚é–â‘è‚Å‚·‚ªAŠî‘bŽ–€‚¾‚©‚ç‚ÆŒ¾‚Á‚ĈՂµ‚¢‚Æ‚¢‚¤‚킯‚ł͂ ‚è‚Ü‚¹‚ñB’š”J‚ÈlŽ@‚ª•K—v‚Å‚·B
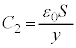
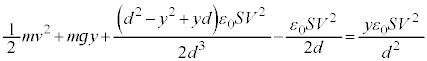
[A](a) ‹É”ŠԊu‚ªd‚̂Ƃ«A“±‘̉~”Âã•”‚Æã‚̉~Œ`‰~”‚̊Ԃɂł«‚éƒRƒ“ƒfƒ“ƒT[‚ÌÓd—e—Ê‚Í
C‚±‚ê‚É“dˆ³V‚ð‚©‚¯‚邯‚«ƒRƒ“ƒfƒ“ƒT[‚ɶ‚¶‚é“d‰×Q‚ÍA
C“±‘̉~”‚Ìã–ʂɶ‚¶‚é“d‰×‚ÍA
......[“š]
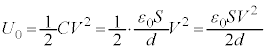
(b) •½s”ƒRƒ“ƒfƒ“ƒT[‚É’~‚¦‚ç‚ꂽÓdƒGƒlƒ‹ƒM[
‚ÍA
......[“š]
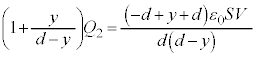
[B]@“±‘̉~”‚Ì㑤‚ɂł«‚é‹É”ŠԊu
‚̃Rƒ“ƒfƒ“ƒT[‚ÌÓd—e—Ê
‚ÍA
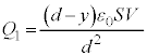
C“±‘̉~”‚̉º‘¤‚ɂł«‚é‹É”ŠԊuy‚̃Rƒ“ƒfƒ“ƒT[‚ÌÓd—e—Ê
‚ÍA
C‰E}‚̂悤‚ÉA
‚ª’~‚¦‚é“d‰×‚ð
C
‚ª’~‚¦‚é“d‰×‚ð
C
‚̋ɔŠԓdˆ³‚ð
C
‚̋ɔŠԓdˆ³‚ð
‚Æ‚·‚邯A
C
C‚Ü‚½A
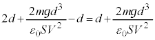
@¥¥¥‡@‚³‚ÄA“±‘̉~”‚ª‰º‚̉~Œ`‰~”‚ÆÚG‚µ‚Ä‚¢‚Ä
‚Å‚ ‚邯‚«‚©‚çA‹Í‚©‚É
‚ƂȂèA“±‘̉~”‚Ɖº‚̉~Œ`‰~”‚ƂÌÚG‚ªØ‚ê‚éuŠÔ‚ðl‚¦‚Ü‚·B‚±‚̂Ƃ«Aã‚̉~Œ`‰~”‚Ɠ±‘̉~”‚̊Ԃ̃Rƒ“ƒfƒ“ƒT[‚ÌÓd—e—ʂ͂܂¾[A]‚ÌC‚̂܂Ü(
‚̂Ƃ«‚Ì
)‚Å‚·BƒRƒ“ƒfƒ“ƒT[‚ɂ͓d‰×Q‚ª’~‚¦‚ç‚ê‚Ä‚¢‚é‚Ì‚ÅAã‚̉~Œ`‰~”‚ɂÍ
C‰º‚̉~Œ`‰~”‚ɂÍ
‚Ì“d‰×‚ª‚ ‚èAÚG‚ªØ‚ꂽuŠÔ‚É‚à“±‘̉~”‚ɂÍ
‚Ì“d‰×‚ªŽc‚è‚Ü‚·B]‚Á‚ÄÚG‚ªØ‚ꂽˆÈŒã“±‘̉~”‚ª•‚サ‚Ä‚¢‚éŠÔA“±‘̉~”‚ɂ͂±‚Ì
‚Ì“d‰×‚ªŽc‚è‚Ü‚·(‡¬—e—ʂ̌öŽ®‚ðŽQÆ)B‚‚܂èA
@¥¥¥‡A‚Å‚·B‡@‚ÍA
@¥¥¥‡B‚ƂȂè‚Ü‚·‚ªA‡AC‡B‚ð˜A—§‚µA‡A{‡B~
‚Æ‚·‚邯A ˆ
@¥¥¥‡C
‡A‚æ‚èA
@¥¥¥‡D (c) “±‘̉~”‚Ìã–ʂɶ‚¶‚é“d‰×‚ÍA
......[“š] “±‘̉~”‚̉º–ʂɶ‚¶‚é“d‰×‚ÍA
......[“š]
y‚ª0‚©‚çd‚܂ŕω»‚·‚邯A
F
C
F
‚ƕω»‚µ‚Ü‚·B
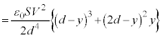
(d) ㉺‚̋ɔ‚Ɠ±‘̉~”‚Å\¬‚³‚ê‚镽s”ƒRƒ“ƒfƒ“ƒT[‚É’~‚¦‚ç‚ꂽ‘SÓdƒGƒlƒ‹ƒM[U‚ÍA‡CC‡D‚æ‚èA
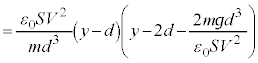
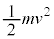
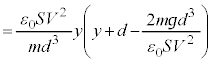
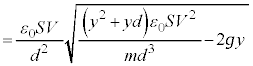
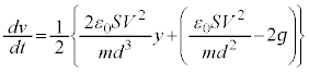
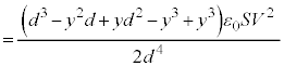
(e) “±‘̉~”‚Ì㸑¬“x‚ðv‚Æ‚·‚邯A“±‘̉~”‚̉^“®ƒGƒlƒ‹ƒM[‚Í
‚Å‚·BŽè‚ð•ú‚µ‚Ä‚©‚ç㸂µ‚½‹——£‚ðy‚Æ‚·‚邯A
‚̈ʒu‚ðŠî€‚Æ‚µ‚ÄA“±‘̉~”‚̈ʒuƒGƒlƒ‹ƒM[‚Í
‚Å‚·B Žè‚ð•ú‚µ‚Ä‚©‚ç‹——£y㸂·‚é‚܂łɓ±‘̉~”‚ÌÓdƒGƒlƒ‹ƒM[‚Í
‚©‚çU‚܂ŕω»‚µ‚Ü‚·B
ã‚̉~Œ`‰~”‚Ɖº‚̉~Œ`‰~”‚ª’¼—¬“dŒ¹‚ÉÚ‘±‚³‚ê‚Ä‚¢‚é‚Ì‚ÅA“±‘̉~”‚̈ړ®‚ƂƂà‚É“d‰×‚ªˆÚ“®‚µ‚ÄAã‚̉~Œ`‰~”‚Ɖº‚̉~Œ`‰~”‚̓d‰×‚ª•ω»‚µA’¼—¬“dŒ¹‚ªŽdŽ–‚ð‚·‚é‚±‚ƂɒˆÓ‚µ‚Ü‚·BˆÚ“®‚µ‚½“d‰×‚ÍA
‚Å‚·B’¼—¬“dŒ¹‚ª‚µ‚½ŽdŽ–‚ÍA
@¥¥¥‡E
@¥¥¥‡F(b)C(d)‚ÌŒ‹‰ÊA‡E‚ð—p‚¢‚ÄA
@¥¥¥‡G“±‘̉~”‚͕‚ã‚·‚é‚Ì‚ÅA
......[“š]
(f) “d—¬Œv‚𗬂ê‚é“d—¬I‚ÍAã‚̉~Œ`‰~”‚̓d‰×‚̕ω»—¦
‚É“™‚µ‚(
‚̂Ƃ«“d‰×
‚ª‘‚¦‚é‚Ì‚Å
‚Å‚·)A‡D‚æ‚èA
@(
‚Å‚·)
......[“š]
(g) ‡G‚ð•ÏŒ`‚µ‚ÄA
@¥¥¥‡H
@¥¥¥‡I‚±‚±‚ÅA‰¼‚É
(‚‚܂è
)‚¾‚Æ‚·‚邯A
‚̂Ƃ«‚É
‚ɂȂÁ‚Ä‚µ‚Ü‚¢‚Ü‚·B“±‘̉~”‚ª•‚ã‚·‚é(
‚̂Ƃ«
)‚½‚߂ɂÍA‚È‚‚Æ‚à
(‚‚܂è
)‚Å‚ ‚é•K—v‚ª‚ ‚è‚Ü‚·B
‡H‚ðt ‚Å”÷•ª‚·‚邯(‡¬ŠÖ”‚Ì”÷•ª–@‚ðŽQÆ)A
‚Å‚ ‚ê‚ÎA
‚Å‚·B“±‘̉~”‚ª•‚ã‚·‚邱‚Æ(
)‚Ƈ‚킹‚ÄA•‚サ‚Ä‚¢‚éŠÔ‚Ì“±‘̉~”‚Ìy-t ƒOƒ‰ƒt‚͉º‚É“Ê(ŠÖ”‚̉š“Ê‚ðŽQÆ)‚ÅA‘‰Á‚·‚é‹Èü‚ɂȂè‚Ü‚·B
•‚ã‚𑱂¯‚½“±‘̉~”‚͂₪‚ÄAã‚̉~Œ`‰~”‚ÉÕ“Ë‚µ‚Ü‚·BÕ“Ë‚µ‚½Žž“_‚ÅAƒRƒ“ƒfƒ“ƒT[‚Í[A]‚Æ“¯‚¶ó‹µ‚ƂȂè‚Ü‚·B‚±‚ÌŒãA“±‘̉~”‚͉º~‚ðŽn‚߂܂·B[B]‚Ì}‚ÅA“±‘̉~”‚Íã‚̉~Œ`‰~”‚ÉÚG‚µ‚Ä‚¢‚½‚Æ‚±‚ë‚©‚牺~‚·‚é‚Ì‚ÅA“±‘̉~”‚ª‰º~‚µ‚Ä‚¢‚éŠÔ(‰º‚̉~Œ`‹É”‚Ìã–Ê‚©‚瓱‘̉~”‚܂ł̋——£‚ªd‚©‚çy‚ɂȂé‚Ü‚Å)A“±‘̉~”‚Ɏc‚é“d‰×‚Í
‚Å‚·B‡A‚ÍA
@¥¥¥‡J‚ƂȂè‚Ü‚·B‡@C‡B‚͕ςí‚炸A‡J‚ƘA—§‚µ‚Ä‰ð‚‚ÆA“±‘̉~”‚ª‰º~‚µ‚Ä‚¢‚éŠÔA
C
‚ª’~‚¦‚Ä‚¢‚é“d‰×‚ÍA
C
Cy‚ªd‚©‚ç0‚܂ŕω»‚·‚邯A
F
C
F
‚ƕω»‚µ‚Ü‚·B
ÓdƒGƒlƒ‹ƒM[‚ÍA ‚ƂȂè‚Ü‚·B
‚̂Ƃ«‚©‚ç‚Ìd—͂̈ʒuƒGƒlƒ‹ƒM[‚̕ω»‚Í
C
‚̂Ƃ«‚ÌÓdƒGƒlƒ‹ƒM[‚Í(b)‚Ì
‚ÅAÓdƒGƒlƒ‹ƒM[‚̕ω»‚͇F‚Æ“¯—l‚É
‚Å‚·B‚±‚ÌŠÔ‚É㑤‰~Œ`‹É”‚©‚ç’¼—¬“dŒ¹‚©‚ç㑤‰~Œ`‹É”‚Ɉړ®‚µ‚½“d‰×‚Í
‚Å‚·(
‚Å“±‘̉~”‚ª—£‚ꂽuŠÔ‚É㑤‰~Œ`‰~”‚̓d‰×
‚Í0‚ɂȂé)B
’¼—¬“dŒ¹‚ª‚µ‚½ŽdŽ–‚ÍA
“±‘̉~”‰º~Žž‚ÉAƒGƒlƒ‹ƒM[‚ÌŒ´—‚ÌŽ®‡F‚ÍA ‚ƂȂèA‡G‚ÍA
‚ƂȂè‚Ü‚·B‡K‚ðt ‚Å”÷•ª‚·‚邯A
‚æ‚èA y‚ªd‚©‚ç0‚܂ŕω»‚·‚éŠÔ‚Í
‚ÅA“±‘̉~”‚ª‰º~‚µ‚Ä‚¢‚éŠÔ(
)‚Ì“±‘̉~”‚Ìy-t ƒOƒ‰ƒt‚Íã‚ɓʂŌ¸‚·‚é‹Èü‚ɂȂè‚Ü‚·B
-y‚̃Oƒ‰ƒt‚ð㸎ž‚̇I‚Ɖº~Žž‚̇K‚ƂŔäŠr‚·‚邯A‡I‚Å‚Íy޲‚Æ
(
C
‚Æ‚µ‚Ü‚·)‚ƂŌð‚í‚è‚Ü‚·‚ªA‡K‚Å‚ÍA
‚ƂŌð‚í‚è‚Ü‚·By޲‚Æ‚Ì2Œð“_‚Ì‹——£‚ð”ä‚ׂ邯A‡I‚Å‚Í
C‡K‚Å‚Í
‚ƂȂèA‡K‚Ì•û‚ª‘å‚«‚‚È‚è‚Ü‚·B
]‚Á‚ÄA㸎ž‚ÅyF
‚Æ‚È‚é‚Æ‚«‚Ì
‚Ɖº~Žž‚ÅyF
‚Æ‚È‚é‚Æ‚«‚Ì
‚Ì’l‚ð”äŠr‚·‚邯A‰º~Žž‚Ì•û‚ª‘å‚«‚‚È‚è‚Ü‚·B‚Æ‚¢‚¤‚±‚Æ‚ÍA“±‘̉~”‚ªA㸂µ‚Äã‚̉~Œ`‹É”‚ÉÕ“Ë‚·‚é‚܂ł̎žŠÔ
‚Ɖº~‚µ‚ĉº‚̉~Œ`‹É”‚ÉÕ“Ë‚·‚é‚܂ł̎žŠÔ
‚ð”ä‚ׂ邯A‰º~‚·‚é•û‚ª‘¬‚¢‚Ì‚ÅA
‚ƂȂè‚Ü‚·B
ˆÈã‚æ‚èAŽžt‚Æ‹——£y‚ÌŠÖŒW‚ð‚Æ‚µ‚ÄÅ‚à‚Ó‚³‚킵‚¢ƒOƒ‰ƒt‚͇@ ......[“š]
yLz‚±‚±‚©‚çL‚Å‚·B‚²——‚ÌŠF‚³‚܂̂²Žx‰‡‚²—‰ð‚ðŽ’‚è‚½‚A‚æ‚낵‚‚¨Šè‚¢‚¢‚½‚µ‚Ü‚·B
yLzL‚Í‚±‚±‚܂łł·B
@@“Œ‹ž‰ÈŠw‘啨—TOP@@•¨—TOP@@TOPƒy[ƒW‚É–ß‚é
yLz‚±‚±‚©‚çL‚Å‚·B‚²——‚ÌŠF‚³‚܂̂²Žx‰‡‚²—‰ð‚ðŽ’‚è‚½‚A‚æ‚낵‚‚¨Šè‚¢‚¢‚½‚µ‚Ü‚·B
yLzL‚Í‚±‚±‚܂łł·B
Še–â‘è‚Ì’˜ìŒ ‚Í
o‘è‘åŠw‚É‘®‚µ‚Ü‚·B‚È‚¨A‰ð“š‚ÍA
‹êŠwŠyŠwm§ì‚Å‚·B©2005-2025(—L)‚è‚é‚ç‚é ‹êŠwŠyŠwm Žž“ü‰ïŽó•t’†I—Œn‘åŠwŽóŒ±ƒlƒbƒgm‹êŠwŠyŠwm(‚²ˆÄ“à‚Í‚±‚¿‚ç)‚²“ü‰ï‚ÍA
‚Ü‚¸A‚±‚¿‚ç‚܂Ń[ƒ‹‚ð
‚¨‘—‚è‚‚¾‚³‚¢B