“Œ‹ž‰ÈŠw‘å—HŠwŒn•¨—'25”N‘OŠú[3]
\•ª‚È’·‚³‚ðŽ‚ÂƒVƒŠƒ“ƒ_[“à‚ÉŽ¿—Ê‚ª–³Ž‹‚Å‚«‚éƒsƒXƒgƒ“‚ª‚ ‚èA‚»‚ê‚ç‚É‚æ‚è•‚¶ž‚ß‚ç‚ꂽ‹C‘Ì‚Ìó‘ԕω»‚ɂ‚¢‚Äl‚¦‚éB‘å‹Cˆ³‚ð
C‹C‘̒蔂ðRCd—͉Á‘¬“x‚̑傫‚³‚ð
‚Æ‚µAˆÈ‰º‚ÌÝ–â‚É“š‚¦‚æB
[A]@}1‚̂悤‚ÉA’f–ÊÏS‚̃VƒŠƒ“ƒ_[‚ª…•½‚Ȱ‚Ìã‚ɉ”’¼‚ɌŒ肳‚ê‚Ä‚¢‚éBƒsƒXƒgƒ“‚̓VƒŠƒ“ƒ_[“à‚Ì‹C‘̂Ƒå‹C‚ðŽd؂邱‚Æ‚ª‚Å‚«AŒX‚‚±‚ƂȂ‰”’¼•ûŒü‚ÉŠŠ‚ç‚©‚É“®‚BƒVƒŠƒ“ƒ_[’ê–Ê‚©‚çƒsƒXƒgƒ“‚̉º–ʂ܂ł̋——£‚ð—p‚¢‚ÄAƒsƒXƒgƒ“‚̈ʒu‚ðx‚Æ•\‚·BƒVƒŠƒ“ƒ_[AƒsƒXƒgƒ“‚Í’f”Mނłł«‚Ä‚¢‚éBʼnAŽ¿—Êm‚Ì‚¨‚à‚è‚ðæ‚¹‚½ƒsƒXƒgƒ“‚ª
‚ÅÃŽ~‚µ‚Ä‚¨‚èAƒsƒXƒgƒ“‚̉º‘¤‚ɉ·“x
‚Ì’PŒ´Žq•ªŽq—‘z‹C‘Ì‚ª•‚¶ž‚ß‚ç‚ê‚Ä‚¢‚½B
(a) ƒVƒŠƒ“ƒ_[“à‚Ì‹C‘̂̈³—Í‚ð‹‚ß‚æB
ŽŸ‚ÉAƒsƒXƒgƒ“‚ÉŠO—Í‚ð‰Á‚¦AƒsƒXƒgƒ“‚̈ʒu‚ð
‚܂łä‚Á‚‚è‚ÆˆÚ“®‚³‚¹AƒVƒŠƒ“ƒ_[“à‚Ì‹C‘Ì‚ðˆ³k‚µ‚½B
(b) ƒsƒXƒgƒ“‚̈ʒu
‚É‚¨‚¯‚éƒVƒŠƒ“ƒ_[“à‚Ì‹C‘̂̉·“x‚ð‹‚ß‚æB
(c) ‚±‚̈³k‰ß’ö‚ÅAƒVƒŠƒ“ƒ_[“à‚Ì‹C‘Ì‚ª‚³‚ꂽŽdŽ–‚ð‹‚ß‚æB
[B]@}2‚̂悤‚ÉA“¯‚¶’f–ÊÏS‚ðŽ‚ÂƒVƒŠƒ“ƒ_[ACƒVƒŠƒ“ƒ_[B‚ª…•½‚Ȱ‚Ìã‚ɉ”’¼‚ɌŒ肳‚ê‚Ä‚¨‚èAƒRƒbƒN‚Æ×Eð‚̂‚¢‚½×‚¢ŠÇ‚ł‚Ȃª‚Á‚Ä‚¢‚éBƒsƒXƒgƒ“ACƒsƒXƒgƒ“B‚ÍA‚»‚ꂼ‚êƒVƒŠƒ“ƒ_[A“àAƒVƒŠƒ“ƒ_[B“à‚Ì‹C‘̂Ƒå‹C‚ðŽd؂邱‚Æ‚ª‚Å‚«AŒX‚‚±‚ƂȂ‰”’¼•ûŒü‚ÉŠŠ‚ç‚©‚É“®‚BƒsƒXƒgƒ“A‚ɂ͂¨‚à‚肪æ‚Á‚Ä‚¨‚èAƒsƒXƒgƒ“B‚ɂ͂¨‚à‚肪æ‚Á‚Ä‚¢‚È‚¢B×Eð‚Í×E‚Ì‚ ‚é‚‚߂à‚̂ł ‚èA×Eð‚ð—p‚¢‚邱‚ƂŃVƒŠƒ“ƒ_[A“àAƒVƒŠƒ“ƒ_[B“à‚Ì‹C‘̂̈³—Í‚ð‚»‚ê‚¼‚êˆê’è‚ɕۂ¿‚È‚ª‚ç‹C‘Ì‚ðˆÚ“®‚³‚¹‚邱‚Æ‚ª‚Å‚«‚éBƒVƒŠƒ“ƒ_[AƒsƒXƒgƒ“AƒRƒbƒN‚Æ×Eð‚̂‚¢‚½×‚¢ŠÇ‚Í’f”Mނłł«‚Ä‚¢‚éBƒVƒŠƒ“ƒ_[’ê–Ê‚©‚çƒsƒXƒgƒ“‚̉º–ʂ܂ł̋——£‚ð—p‚¢‚ÄAƒsƒXƒgƒ“A‚̈ʒu‚ðxCƒsƒXƒgƒ“B‚̈ʒu‚ðy‚Æ•\‚·BʼnAƒRƒbƒN‚͕‚¶‚ç‚ê‚Ä‚¨‚èAƒsƒXƒgƒ“A‚Í
‚ÉAƒsƒXƒgƒ“B‚̓VƒŠƒ“ƒ_[‚Ì’ê(
)‚ÉÃŽ~‚µ‚Ä‚¢‚éBƒsƒXƒgƒ“A‚̉º‘¤‚ɂ͉·“x
‚Ì’PŒ´Žq•ªŽq—‘z‹C‘Ì‚ª•‚¶ž‚ß‚ç‚ê‚Ä‚¨‚èA‹C‘̂̈³—Í‚Í
‚Å‚ ‚éB
ŽŸ‚ÉAƒRƒbƒN‚ðŠJ‚«AƒsƒXƒgƒ“A‚É‚©‚©‚é—͂̂‚臂¢‚ð•Û‚¿‚È‚ª‚çAƒsƒXƒgƒ“A‚ð‚ä‚Á‚‚è‚Æ‰º•û‚É“®‚©‚µ‚½BƒRƒbƒN‚ðŠJ‚¢‚½’¼Œã‚Ì‹C‘Ì‚Ìó‘Ô‚ðó‘Ô1‚Æ‚æ‚ÔBƒsƒXƒgƒ“A‚ð‰º•û‚É“®‚©‚µ‚Ä‚¢‚‰ß’ö‚É‚¨‚¢‚ÄAƒVƒŠƒ“ƒ_[A“à‚Ì‹C‘̂̈ꕔ‚ªA×Eð‚̂‚¢‚½×‚¢ŠÇ‚ð’Ê‚Á‚ăVƒŠƒ“ƒ_[B“à‚É—¬“ü‚µAƒsƒXƒgƒ“B‚Í‚ä‚Á‚‚è‚Æã•û‚Ɉړ®‚µ‚½B‚±‚̂Ƃ«AƒVƒŠƒ“ƒ_[A“à‚Ì‹C‘̂̉·“x‚Í
‚̂܂܂ł ‚èAƒsƒXƒgƒ“B‚É‚©‚©‚é—Í‚Íí‚ɂ‚臂Á‚Ä‚¢‚½B
ƒsƒXƒgƒ“A‚ª
‚©‚ç
‚܂ňړ®‚µ‚½‚Æ‚«AƒsƒXƒgƒ“B‚Í
‚©‚ç
‚Ɉړ®‚µ‚½‚Æ‚·‚éB‚±‚̂Ƃ«AƒVƒŠƒ“ƒ_[B“à‚Ì‹C‘̂̉·“x‚ð
C‹C‘Ì‘S‘Ì‚Ì“à•”ƒGƒlƒ‹ƒM[‚ð
‚Æ‚»‚ꂼ‚ê•\‚·B
(d) ƒsƒXƒgƒ“B‚̈ʒu
‚ðA
C
C
C
CSC
C
‚Ì‚¤‚¿•K—v‚È‚à‚Ì‚ð—p‚¢‚Ä‹‚ß‚æB
(e) ƒVƒŠƒ“ƒ_[A“à‚Ì‹C‘Ì‚ª‚³‚ꂽŽdŽ–
CƒVƒŠƒ“ƒ_[B“à‚Ì‹C‘Ì‚ª‚µ‚½ŽdŽ–
‚ðA
C
C
C
C
CS‚Ì‚¤‚¿•K—v‚È‚à‚Ì‚ð—p‚¢‚Ä‹‚ß‚æB
(f) ƒVƒŠƒ“ƒ_[ACƒVƒŠƒ“ƒ_[B‚ɕ‚¶ž‚ß‚ç‚ꂽ‹C‘Ì‘S‘̂ɑ΂µ‚ÄA”M—ÍŠw‘æ1–@‘¥‚ðl‚¦‚éBƒsƒXƒgƒ“A‚ª
‚©‚ç
‚܂ňړ®‚µ‚½‚Æ‚«‚Ì“à•”ƒGƒlƒ‹ƒM[‚̕ω»‚ÍA
C
‚ð—p‚¢‚Ĉȉº‚̂悤‚É‘‚¯‚éB
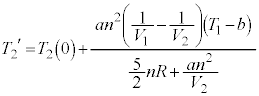
@(1)‚±‚Ì‚±‚Æ‚©‚çAƒVƒŠƒ“ƒ_[B“à‚Ì‹C‘̂̉·“x‚Í
@(2)‚Æ‹‚Ü‚éB‹ó—“
C
‚É“–‚Ă͂܂锎®‚ð‹‚ß‚æB ‚³‚ç‚ÉAƒsƒXƒgƒ“A‚ðƒVƒŠƒ“ƒ_[A‚Ì’ê(
)‚܂œ®‚©‚µ‚½‚Æ‚«A‹C‘̂̓VƒŠƒ“ƒ_[B‚݂̂ɕ‚¶ž‚ß‚ç‚ꂽB‚±‚Ì‹C‘Ì‚Ìó‘Ô‚ðó‘Ô2‚Æ‚æ‚ÔB
(g) ó‘Ô1‚©‚çó‘Ô2‚̉ߒö‚É‚¨‚¯‚éŽdŽ–
C
‚ÍA‚»‚ꂼ‚êó‘Ô1‚à‚µ‚‚Íó‘Ô2‚É‚¨‚¯‚é‹C‘̂̉·“xAˆ³—ÍA‘Ìςɂæ‚è•\‚¹‚éB‚±‚Ì‚±‚Æ‚ð—p‚¢‚邯A‰·“xTCˆ³—ÍpC‘ÌÏV‚Ì‹C‘̂Ɋւµ‚ÄA“à•”ƒGƒlƒ‹ƒM[U‚Æ
‚̘a‚Å•\‚³‚ê‚é—Ê
@(3)‚ªA‚±‚̉ߒö‚Ì‘OŒã‚ŕω»‚µ‚Ä‚¢‚È‚¢‚±‚Æ‚ª‚í‚©‚éBTCpCV‚Ì‚¤‚¿•K—v‚È‚à‚Ì‚ð—p‚¢‚Ä‹ó—“
‚ð•\‚¹B
‚Ü‚½AŽ®(3)‚Í’PŒ´Žq•ªŽq—‘z‹C‘Ì‚Ìê‡A‹C‘̂̕¨Ž¿—Ên‚ð—p‚¢‚Ä
@(4)‚Æ‘‚¯‚éATCVCR‚Ì‚¤‚¿•K—v‚È‚à‚Ì‚ð—p‚¢‚Ä‹ó—“
‚ð•\‚¹B
[C]@Ý–â[B]‚Å‚ÌÝ’è‚É‚¨‚¢‚ÄA—‘z‹C‘̂ł͂ȂAŽÀ݂̋C‘Ì(ŽÀÝ‹C‘Ì)‚ð—p‚¢‚Ä“¯—l‚Ì‘€ì‚ðs‚¤BŽÀÝ‹C‘Ì‚ÍA—‘z‹C‘̂Ƃ͈قȂèA•ªŽqŠÔ‚ɂ͂½‚炗͂ƕªŽqŽ©g‚Ì‘Ìς𖳎‹‚Å‚«‚È‚¢B‚»‚Ì‚½‚ßAŽ®(4)‚ɕⳂª‰Á‚í‚èA
@(5)‚ª‰ß’ö‚Ì‘OŒã‚ňê’è‚ɕۂ½‚ê‚éB‚±‚±‚ÅAaCb‚Í‹C‘̂ɂæ‚Á‚ÄŒˆ‚܂鳂̔‚Å‚ ‚èAn‚ÍŽÀÝ‹C‘̂̕¨Ž¿—ʂł ‚éB
ʼnAƒRƒbƒN‚͕‚¶‚ç‚ê‚Ä‚¨‚èAƒsƒXƒgƒ“A‚Í
‚ÉAƒsƒXƒgƒ“B‚̓VƒŠƒ“ƒ_[‚Ì’ê(
)‚ÉÃŽ~‚µ‚Ä‚¢‚éBƒsƒXƒgƒ“A‚̉º‘¤‚ɂ͉·“x
‚ÌŽÀÝ‹C‘Ì‚ª•‚¶ž‚ß‚ç‚ê‚Ä‚¨‚èA‚»‚Ì‹C‘̂̈³—Í‚Í
‚Å‚ ‚éB
ŽŸ‚ÉAƒRƒbƒN‚ðŠJ‚«AƒsƒXƒgƒ“A‚É‚©‚©‚é—͂̂‚臂¢‚ð•Û‚¿‚È‚ª‚çAƒsƒXƒgƒ“A‚ð‚ä‚Á‚‚è‚Æ‰º•û‚É“®‚©‚µ‚½BƒRƒbƒN‚ðŠJ‚¢‚½’¼Œã‚Ì‹C‘Ì‚Ìó‘Ô(ó‘Ô1)‚©‚çAƒVƒŠƒ“ƒ_[B‚ɂ݂̂ɕ‚¶ž‚ß‚ç‚ꂽ‹C‘Ì‚Ìó‘Ô(ó‘Ô2)‚ւ̉ߒö‚É‚¨‚¢‚ÄAƒVƒŠƒ“ƒ_[A“à‚Ì‹C‘̂̉·“x‚Í
‚̂܂܂ł ‚èAƒsƒXƒgƒ“B‚É‚©‚©‚é—Í‚Íí‚ɂ‚臂Á‚Ä‚¢‚½B
(h) ‰ß’ö‚Ì‘OŒã‚Å
‚ªˆê’è‚ɕۂ½‚ê‚邱‚Ƃ𗘗p‚·‚邱‚Æ‚ÅAó‘Ô2‚É‚¨‚¯‚éƒVƒŠƒ“ƒ_[B“à‚ÌŽÀÝ‹C‘̂̉·“x
‚Í
@(6)‚Æ•\‚³‚ê‚éB‚±‚±‚ÅA
‚Í—‘z‹C‘Ì‚ð—p‚¢‚½ê‡‚Ìó‘Ô2(
)‚É‚¨‚¯‚é‹C‘̂̉·“x‚Å‚ ‚éBó‘Ô1Có‘Ô2‚É‚¨‚¯‚é‹C‘̂̑ÌÏ‚ð‚»‚ê‚¼‚ê
C
‚Æ‚µAaCbCnCRC
C
C
‚Ì‚¤‚¿•K—v‚È‚à‚Ì‚ð—p‚¢‚Ä‹ó—“
‚ð•\‚¹B
yLz‚±‚±‚©‚çL‚Å‚·B‚²——‚ÌŠF‚³‚܂̂²Žx‰‡‚²—‰ð‚ðŽ’‚è‚½‚A‚æ‚낵‚‚¨Šè‚¢‚¢‚½‚µ‚Ü‚·B
yLzL‚Í‚±‚±‚܂łł·B
‰ð“š@I”Õ‚Í‚©‚È‚èƒSƒ^‚‚«‚Ü‚·B(ƒC)‚Å
‚ƂȂÁ‚Ä‚µ‚Ü‚¤‚Ì‚ÅA‚»‚à‚»‚à
‚Å‚ ‚èA(g)‚ªˆÓ–¡•s–¾‚ɂȂè‚Ü‚·‚ªA
C
‚ÉŠÖ‚·‚éƒqƒ“ƒg‚©‚ç(ƒE)‚ðl‚¦‚Ü‚·B
[A](a) ƒsƒXƒgƒ“‚É“‚—Í‚ÍA‘å‹Cˆ³‚ª‰ºŒü‚«‚ɃsƒXƒgƒ“‚ð‰Ÿ‚·—Í
CƒVƒŠƒ“ƒ_[“à‚Ì‹C‘̂̈³—Í‚ð
‚Æ‚µ‚Ä‚±‚ꂪãŒü‚«‚ɃsƒXƒgƒ“‚ð‰Ÿ‚·—Í
C‚¨‚à‚è‚Ìd—Í
(‰ºŒü‚«)‚ÅA‚±‚ê‚ç‚̗͂̂‚臂¢‚æ‚èA
@ˆ
......[“š]
(b) ƒVƒŠƒ“ƒ_[“à‚Ì‹C‘̂͒f”Mނň͂܂ê‚Ä‚¢‚é‚̂Œf”M•ω»‚ð‚µ‚Ü‚·BƒsƒXƒgƒ“‚̈ʒu
‚É‚¨‚¯‚éƒVƒŠƒ“ƒ_[“à‚Ì‹C‘̂̉·“x‚ð
‚Æ‚µ‚ÄAƒ|ƒAƒbƒ\ƒ“‚ÌŠÖŒWŽ®‚æ‚èA
@ˆ
......[“š]
ƒsƒXƒgƒ“A‚ª
‚É‚¢‚邯‚«‚̃VƒŠƒ“ƒ_[A“à‚Ì‹C‘̗̂ʂð
‚Æ‚µ‚ÄAó‘Ô•û’öŽ®F
@¥¥¥‡@
’f”M•ω»‚Ȃ̂ÅA‚±‚̈³k‰ß’ö‚Å‹C‘Ì‚ª‹zŽû‚µ‚½”M‚Í0C‹C‘Ì‚ª‚³‚ꂽŽdŽ–‚ðW‚Æ‚µ‚Ä”M—ÍŠw‘æ1–@‘¥‚æ‚èA ˆ
@(æ ‡@)
@(æ (a))
......[“š]
[B]@ƒsƒXƒgƒ“A‚ª
‚©‚ç
‚܂ňړ®‚·‚éŠÔAƒsƒXƒgƒ“A‚É‚©‚©‚é—͂̂‚臂¢‚ª•Û‚½‚ê‚Ä‚¢‚é‚Ì‚ÅAƒVƒŠƒ“ƒ_[A“à‚Ì‹C‘̂̈³—Í‚Í
‚ɕۂ½‚ê‚Ü‚·BƒsƒXƒgƒ“A‚ª
‚É‚¢‚邯‚«‚̃VƒŠƒ“ƒ_[A“à‚Ì‹C‘̗̂ʂð
‚Æ‚µ‚ÄAó‘Ô•û’öŽ®F
@¥¥¥‡A‡A€‡@‚æ‚èA
@ˆ
@¥¥¥‡B
ׂ¢ŠÇ‚ð’Ê‚Á‚ăVƒŠƒ“ƒ_[A‚©‚çƒVƒŠƒ“ƒ_[B‚Ɉړ®‚µ‚½‹C‘̗̂ʂÍA
@¥¥¥‡C
(d) ƒsƒXƒgƒ“B‚É‚©‚©‚é—͂̂‚臂¢‚æ‚èƒVƒŠƒ“ƒ_[B“à‚Ì‹C‘̂̈³—Í‚Í
‚Å‚·BƒsƒXƒgƒ“B‚̈ʒu‚ª
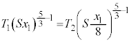
‚̂Ƃ«‚̃VƒŠƒ“ƒ_[B“à‚Ì‹C‘Ì‚Ìó‘Ô•û’öŽ®F
@¥¥¥‡D‡D€‡@‚æ‚èA
ˆ
......[“š]
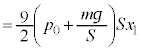
(e) ƒVƒŠƒ“ƒ_[A“à‚Ì‹C‘͈̂³—Í
‚̒舳•ω»‚Å‘ÌÏ‚ª
¨
‚ƕω»‚·‚é‚Ì‚ÅAƒVƒŠƒ“ƒ_[A“à‚Ì‹C‘Ì‚ª‚³‚ꂽŽdŽ–
‚ÍA
......[“š]ƒVƒŠƒ“ƒ_[B“à‚Ì‹C‘͈̂³—Í
‚̒舳•ω»‚Å‘ÌÏ‚ª0¨
‚Æ‘‰Á‚·‚é‚Ì‚ÅAƒVƒŠƒ“ƒ_[B“à‚Ì‹C‘Ì‚ª‚µ‚½ŽdŽ–
‚ÍA
......[“š]
(f) ‹C‘Ì‘S‘̂ɑ΂µ‚Ä”M—ÍŠw‘æ1–@‘¥‚ðl‚¦‚邯A‹C‘Ì‘S‘̂ŋzŽû‚µ‚½”M‚Í0‚ÅA
ˆ
@(1)
......[ƒA]
‚̂Ƃ«ƒVƒŠƒ“ƒ_[B“à‚É‹C‘̂͂ȂAƒVƒŠƒ“ƒ_[A“à‚Ì‹C‘Ì‚Ì“à•”ƒGƒlƒ‹ƒM[‚ÍA
‚̂Ƃ«ƒVƒŠƒ“ƒ_[A“à‚Ì‹C‘̗̂ʂ͇B‚Ì
‚ÅAƒVƒŠƒ“ƒ_[B“à‚Ì‹C‘̗̂ʂ͇C‚Ì
‚Å‚·B—¼ŽÒ‚Ì“à•”ƒGƒlƒ‹ƒM[‚̘a
‚ÍA
‚Í(e)‚ÌŒ‹‰ÊA(d)‚ÌŒ‹‰Ê‚ð—p‚¢‚ÄA
@¥¥¥‡E‚æ‚Á‚ÄA(1)Ž®‚͈ȉº‚̂悤‚ɂȂè‚Ü‚·B
ˆ
@
......[ƒC]
(g) (e)‚ÌŒ‹‰Ê‚É‚¨‚¢‚Ä
‚Æ‚·‚邯A
C
‚±‚ê‚æ‚èA
‚̂Ƃ«(1)Ž®‚ÍA ‚ƂȂè‚Ü‚·‚ªA‚±‚ê‚ðA
‚Æ‚Ý‚é‚ÆA
‚Í
‚̂Ƃ«(ó‘Ô2)‚Ì‹C‘̂̑ÌÏ
‚Å‚ ‚èA
‚Í
‚̂Ƃ«(ó‘Ô1)‚Ì‹C‘̂̑ÌÏ
‚Ȃ̂ÅA ‚±‚ê‚æ‚èA‰·“xTCˆ³—ÍpC‘ÌÏV‚Ì‹C‘̂Ɋւµ‚ÄA“à•”ƒGƒlƒ‹ƒM[U‚Æ
‚̘a‚Å•\‚³‚ê‚é—Ê
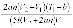
@(3)‚ªAó‘Ô1¨ó‘Ô2‚̉ߒö‚Ì‘OŒã‚ŕω»‚µ‚Ä‚¢‚È‚¢‚±‚Æ‚ª‚í‚©‚è‚Ü‚·B(1)Ž®‚ɇE‚ð“ü‚ê‚Ä‚Ý‚é‚ÆA
ˆ
‚ƂȂèA
C
‚ðA
‚̂Ƃ«‚̃VƒŠƒ“ƒ_[B“àAƒVƒŠƒ“ƒ_[A“à‚Ì‹C‘̂̑Ìςƌ©‚ê‚ÎA‚â‚Í‚è
‚Í
‚̂Ƃ«‚Æ
‚̂Ƃ«‚Ƃŕω»‚µ‚Ü‚¹‚ñB@
......[ƒE]’PŒ´Žq•ªŽq—‘z‹C‘̂łÍ
C
‚ƂȂé‚Ì‚ÅA
@
......[ƒG]
[C]@
‚ªˆê’è‚ɕۂ½‚ê‚é‚Ì‚ÅA
(ó‘Ô1)‚̂Ƃ«A
C
(ó‘Ô2)‚̂Ƃ«A
C
‚Æ‚µ‚ÄA‚±‚±‚ÅA(ƒC)‚ÌŒ‹‰Ê‚æ‚è
‚Å‚ ‚邱‚ÆA‰ð“š—“‚ÌŒ`‚É’ˆÓ‚µ‚ÄA¶•Ó‚Ì
‚ÌŒW”‚ƉE•Ó‚Ì
‚ÌŒW”‚ª‘µ‚¤‚悤‚ɕό`‚µA —¼•Ó‚ð
‚ÅŠ„‚èA
......[ƒI]
yLz‚±‚±‚©‚çL‚Å‚·B‚²——‚ÌŠF‚³‚܂̂²Žx‰‡‚²—‰ð‚ðŽ’‚è‚½‚A‚æ‚낵‚‚¨Šè‚¢‚¢‚½‚µ‚Ü‚·B
yLzL‚Í‚±‚±‚܂łł·B
@@“Œ‹ž‰ÈŠw‘啨—TOP@@•¨—TOP@@TOPƒy[ƒW‚É–ß‚é
yLz‚±‚±‚©‚çL‚Å‚·B‚²——‚ÌŠF‚³‚܂̂²Žx‰‡‚²—‰ð‚ðŽ’‚è‚½‚A‚æ‚낵‚‚¨Šè‚¢‚¢‚½‚µ‚Ü‚·B
yLzL‚Í‚±‚±‚܂łł·B
Še–â‘è‚Ì’˜ìŒ ‚Í
o‘è‘åŠw‚É‘®‚µ‚Ü‚·B‚È‚¨A‰ð“š‚ÍA
‹êŠwŠyŠwm§ì‚Å‚·B©2005-2025(—L)‚è‚é‚ç‚é ‹êŠwŠyŠwm Žž“ü‰ïŽó•t’†I—Œn‘åŠwŽóŒ±ƒlƒbƒgm‹êŠwŠyŠwm(‚²ˆÄ“à‚Í‚±‚¿‚ç)‚²“ü‰ï‚ÍA
‚Ü‚¸A‚±‚¿‚ç‚܂Ń[ƒ‹‚ð
‚¨‘—‚è‚‚¾‚³‚¢B