東大物理 '25 年前期 [2] T 図 2-1 のように、真空中に直径 a ,長さ ,巻数 N のソレノイド A がある。その中心軸を x 軸にとり、原点 O をソレノイド A の中心となるようにとった。 x 軸は右向きを正とする。 は a より十分に大きい。ソレノイド A に右から左に向けて一定の大きさ I の直流電流を流す。真空の透磁率 ( 磁気定数 ) を として以下の設問に答えよ。
(1) 原点 O の磁束密度の大きさ を求めよ。
(2) ソレノイド A を中央で二分割して左半分 ( ) を取り除き、図 2-2 のように、右から左に向けて一定の大きさ I の直流電流を流した。このとき、原点 O 付近の磁力線は図 2-3 のように表される。原点 O における磁束密度の大きさ を、 を用いて表せ。 U 図 2-4 のように、設問T (1) での長さ のソレノイド A を、中心軸が x 軸、左端面中心が原点 O となるように固定し、右から左に向けて一定の大きさ I の直流電流を流す。さらに、直径 b ( ),巻数 1 の円形コイル B を、位置 ( ) からソレノイド A 内部の位置 まで等速運動させる。円形コイル B の中心は常に x 軸上にあり、コイル面は x 軸に垂直である。 は より十分に小さい。また、円形コイル B には紙面の手前側に端子 , がある。その端子間距離は十分に小さく、円形コイル B の電気抵抗と自己インダクタンスは無視できる。
(1) 端子 , 間に抵抗値 R の電気抵抗を接続し、円形コイル B を等速運動させた。円形コイル B を貫く磁束が短い時間 の間に だけ変化したとき、円形コイル B に流れる電流の大きさ を求めよ。 (2) 円形コイル B 全体が磁場から受ける力を F とする。 F は右向きを正とする。前問U (1) と同様に端子 , 間に抵抗値 R の電気抵抗を接続し、円形コイル B を位置 から まで速さ で等速運動させたとき、 x と F の関係を表すグラフの概形として最も適切なものを図 2-5 の ( あ ) 〜 ( し ) から一つ選んで答えよ。
(3) 前問U (2) において、電気抵抗の抵抗値を R から にすると、 F の大きさの最大値は何倍になるか、理由とともに答えよ。 (4) 図 2-6 に示す素子 1 〜 9 は、抵抗値 R の電気抵抗、電気容量 C のコンデンサー、ダイオードからなる。ダイオードでは、順方向には抵抗 0 で電流が流れ、逆方向には流れないものとする。例えば素子 4 においては、紙面下向きには電流が流れ、上向きには流れない。 ソレノイド A に流す直流電流の向きを逆にし、左から右に向けて一定の大きさ I の直流電流を流した。ここで、円形コイル B の端子 , 間に素子 1 〜 9 のうち一つを選んで接続し、円形コイル B を位置 から まで速さ で等速運動させる場合を考える。ただし、円形コイル B の端子 に素子の端子 X を、端子 に素子の端子 Y を接続するものとする。このとき、 x と F の関係が、設問U (2) と全く同じになる素子を図 2-6 の素子 1 〜 9 からすべて選び、番号で答えよ。 V 図 2-7 のように、図 2-4 の状態からソレノイド A を取り除き、代わりに直径 a ,巻数 1 の円形コイル C を固定した。円形コイル C の中心は原点 O に一致し、コイル面は x 軸に垂直である。円形コイル C に一定の大きさの直流電流を、左から見て反時計回りに流して磁場を作る。円形コイル B の端子 , 間に抵抗値 R の電気抵抗を接続し、円形コイル B を位置 ( ) から まで等速運動させる。 円形コイル B 全体が磁場から受ける力を F とする。 F は右向きを正とする。 x と F の関係を表すグラフの概形を描け。なお、 F の最大値や最小値、それをとる x の値を示す必要はない。
【広告】ここから広告です。ご覧の皆さまのご支援ご理解を賜りたく、よろしくお願いいたします。
【広告】広告はここまでです。
解答 磁気に関する基本問題ですが、物理的思考力を要求する内容になっています。 T (1) 原点 O における磁場の強さ H は、単位長さあたりの巻数が なので ( 電流の作る磁界 を参照 ) 、 原点 O における磁束密度の大きさ は、真空中では より、 ......[ 答 ]
(2) ソレノイドの右半分が原点 O に作る磁束密度を ,取り除かれたソレノイドの左半分が原点 O に作る磁束密度を とすると、 U (1) 電磁誘導の法則 より、円形コイル B に発生する起電力の大きさは です。端子 , 間に抵抗 R を接続すると、円形コイル B に流れる電流の大きさ は、 オームの法則 より、 ......[ 答 ]
(2) ソレノイド A の左端にできる磁場は図 2-3 のようになり、原点 O から x 軸負方向に進むに従って磁力線の密度は小さくなり、磁束密度の大きさも小さくなります。
円形コイル B を から ( ) まで等速運動させると、円形コイル B を貫く磁束は増大を続け、ソレノイドの中に入ると、磁束は次第に一定になります。変化率の大きさ は原点 O まで増加しますが、原点 O を過ぎると減少して 0 に近づきます。 から原点 O まで、抵抗 R を接続した円形コイル B に流れる電流は、 レンツの法則 より、増大する左向きの磁場を弱める向き、つまり x 軸正方向の磁場を強める向き、即ち、端子 から端子 に向って流れ、 x 軸正方向に向く磁場を作り、ソレノイドの作る磁場との間に斥力、つまり x 軸負方向の力を生じます。つまり です。また、 F の大きさは、原点 O まで、磁場の強さと の増大とともに次第に増大します ( 負値の F は小さくなります、 フレミング左手の法則 を参照 ) 。 原点 O を通過しても、円形コイル B を貫く磁束は増大を続け、 B に流れる電流の向き、 B が受ける力の向きは変わりませんが、 B が に近づくに従って、ソレノイド A 内の磁場は次第に一定値に近づき、 は減少して 0 に近づき、即ち左向きの力 F の大きさも小さくなります。 そうなっているグラフは ( く ) ......[ 答 ]
(3) 抵抗値を R から にすると、各時点で円形コイル B を流れる電流の大きさは 倍になり、磁場の値が同じ値であれば、 F の大きさは電流の大きさに比例するので、 F の最大値も 倍になります。 ......[ 答 ] (4) ソレノイド A に流す電流の向きを逆にすると、コイル B に流れる電流の向きも逆になり、各素子に Y から X に向って電流を流そうとします。ですが、ソレノイドの作る磁場とコイル B の作る磁場との間に左向きの力が働くことは変わりません。
素子 2 ,素子 3 ,素子 6 ,素子 8 、素子 9 では、コンデンサーに充電されるので (2) とは違う状況になります。素子 4 では電流が流れず (2) とは違う状況です。 素子 5 では、 Y から X に向って抵抗 R を通して電流が流れ、 (2) と同じ状況になります。 素子 7 では、コンデンサーに向って電流が流れず充電は起こりません。素子 7 は (2) と同じ状況になります。 よって、 (2) と同じ状況になる素子は、 1 , 5 , 7 ......[ 答 ]
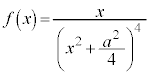
V 円形コイル C が作る磁場の磁力線は、図 2-3 と同様に考えると、 x 軸負方向を向き、磁力線の密度は原点 O で最も大きく、 が大きくなるに従って小さくなります。また、磁場の強さは と とで対称になります。円形コイル B を から ( ) まで等速運動させると、円形コイル C との間に、 では斥力、 では引力が働きますが、力はずっと x 軸負方向を向き、力の大きさも と とで対称になります。 また、 付近では、円形コイル C が作る磁場の強さが最大値に近づき磁束の変化率が 0 に近づくので、円形コイル B に生じる起電力が一旦 0 となり、力の大きさも一旦 0 になります。つまり、 から原点 O までの間に F の大きさが最大になるところがあり、そこから原点に近づくに従って、 F の大きさは次第に小さくなり 0 になります。 でも同様です。よって、 x と F の関係を表すグラフの概形は右図。 注.円形コイル C に大きさ I の電流が流れるとき、半径 の円形コイル C が x 軸上の位置 x に作る磁束密度の大きさ B は、 となることが知られています ( 円電流の作る磁界 を参照 ) 。円形コイル B の面積を S として、円形コイル B を貫く磁束 Φ は、 k を定数として、 と書けます。円形コイル の等速運動の速さを とすると、円形コイル B に発生する起電力 V は、 において , において として、 円形コイル B に流れる電流は、
円形コイルが磁場から受ける力 F は、 に比例し、 を定数として、 という形になるのですが、 では B と C の間に斥力、 では B と C の間に引力が働き、いずれも となります。 として、 のグラフは右図のようになりますが、力 F のグラフの概形は、右図で の部分を y 軸に関して折り返したものになります。 【広告】ここから広告です。ご覧の皆さまのご支援ご理解を賜りたく、よろしくお願いいたします。
【広告】広告はここまでです。
東大物理 TOP 物理 TOP TOP ページに戻る 【広告】ここから広告です。ご覧の皆さまのご支援ご理解を賜りたく、よろしくお願いいたします。
【広告】広告はここまでです。 各問題の著作権は 出題大学に属します。 なお、解答は、 苦学楽学塾制作です。 © 2005-2026 (有)りるらる 苦学楽学塾 随時入会受付中! 理系大学受験ネット塾 苦学楽学塾 (ご案内はこちら )ご入会は、 まず、こちらまでメール を お送りください。