東京科学大医歯学系数学'25年前期[3]
aを1より大きい実数とし、xy平面上の曲線
:
および曲線
:
について考える。原点をOとし、
上に点P,
上に点Qをとる。このとき、以下の各問いに答えよ。
(1) Oを通る傾きkの直線が
に接するとき、aの値をkを用いて表せ。また、接点の座標をaを用いて表せ。
(2) Oを通る直線が
に接するとき、接点の座標をaを用いて表せ。
(3) △OPQが正三角形となるようなP,Qの組の個数を、aの値で場合分けして求めよ。
【広告】ここから広告です。ご覧の皆さまのご支援ご理解を賜りたく、よろしくお願いいたします。
【広告】広告はここまでです。
解答 医学部の入試問題だけあって、複雑怪奇な難問です。本問ではGの事実(
と
は直線
に関して対称でPとQも
に関して対称)に気づかないとお手上げになります。
に傾き0の接線を引くことはできないので
接線の傾きがkより、
として
,
接点のx座標は
,接点のy座標は
・・・@
接線:
接線は、原点Oを通るので、
より、
,
,
(対数関数を参照) ∴
......[答]@に代入すると、
,
接点の座標は、
......[答]
接線の傾きをk,即ち、
として
接点の
座標は
,接点のy座標は
・・・A
接線:
接線は原点Oを通るので、
,
,
,
Aに代入すると、
,
接点の座標は、
......[答]
(3) tを実数,
として、
上の点P
,
上の点Q
と原点Oとで正三角形となるので、
です。Pを
回転するとQに来ます。 また、
より、 
・・・Bここで、
(つまり
) ・・・Cと仮定すると、Bにおいて、
より
,即ち、
・・・Dです。CかつDということは、
・・・Eということです。すると、
(∵ D)
(∵ C,E)となり、
は鈍角で
になり得ません。つまり、Cの仮定は否定されます(背理法については証明の技巧を参照)。
(つまり
) ・・・F
(∵ F)やはり
は鈍角で
になり得ません。つまり、Fの仮定は否定されます。
C,Fがともに否定される、ということは、
ということです。
この事実は、
と
が互いに逆関数の関係にあり、直線
に関して対称なので、△OPQが正三角形になるとき、
より、PとQは直線
に関して対称な位置にある、対称でない場合は正三角形にならない、ということを意味しています。つまり、P,Qの座標について、
,
・・・Gが成立します。
以下、
,複号同順として、
(複号が+のときPを
回転するとQ,複号が−のときPを
回転するとQ)よって、
・・・H,
・・・I
Hにおいて、複号が+のときには
ですが、複号が−のとき(Pを
回転するとQ)には、
であるために
が必要です。
なら
で不適です。よって、
となりますが、このとき、
・・・Jでなければなりません。
G,Hより、
,
(H,Iから複号同順です) ・・・KG,Iより、
,
,これはKと同じ結果を与えます。
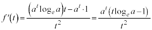
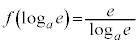
ここで、関数
を考えます。微分すると、
とすると、
より、
,
のとき
ですが、
,
,増減表は以下のようになります。
では
になり得ないので、
における最小値
と
の大小で分類して、
において、
のグラフ(右図)と直線
の共有点の個数を調べます(微分法の方程式への応用(2)を参照)。この個数が、△OPQが正三角形となるようなP,Qの組の個数になります。
ところで(対数関数を参照)、
のとき
,
,
です。
のとき
,
,
です。
のとき
,
,
です。
のとき
,
,
です。
のとき
,
,
です。
これより、
のとき、
であって、
のグラフは、
,
のいずれとも2共有点を持ち、△OPQが正三角形となるようなP,Qの組の個数は4です。
のとき、
であって、
のグラフは、
とは2共有点を持ちますが、
とは1共有点しか持たず、△OPQが正三角形となるようなP,Qの組の個数は3です。
のとき、
であって、
のグラフは、
とは2共有点を持ちますが,
とは共有点を持たず、△OPQが正三角形となるようなP,Qの組の個数は2です。
のとき、
であって、
のグラフは、
と1共有点を持ち,
とは共有点を持たず、△OPQが正三角形となるようなP,Qの組の個数は1です。
のとき、
であって、
のグラフは、
,
のいずれとも共有点を持たず、△OPQが正三角形となるようなP,Qの組の個数は0です。
上記で、
(
)のとき、Jを満たさないように見えますが、このときHの複号は+(Pを
回転するとQ)で
です。
(
)はJを満たしています(このときHの複号は−でPを
回転するとQ)。
以上より、
のとき4,
のとき3,
のとき2,
のとき1,
のとき0 ......[答]
【広告】ここから広告です。ご覧の皆さまのご支援ご理解を賜りたく、よろしくお願いいたします。
【広告】広告はここまでです。
東京科学大数学TOP 数学TOP TOPページに戻る
【広告】ここから広告です。ご覧の皆さまのご支援ご理解を賜りたく、よろしくお願いいたします。
【広告】広告はここまでです。
各問題の著作権は
出題大学に属します。なお、解答は、
苦学楽学塾制作です。©2005-2025(有)りるらる 苦学楽学塾 随時入会受付中!理系大学受験ネット塾苦学楽学塾(ご案内はこちら)ご入会は、
まず、こちらまでメールを
お送りください。