慶大理工数学'26年[5]
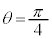
(1) iを虚数単位とし、実数θに対して
とおく。実数aに対して、
を満たす
の1つをaを用いて表すと
であり、
を満たす
の1つをaを用いて表すと
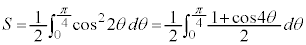
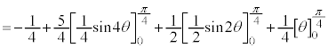
である。 (2) θの関数
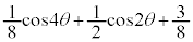
を適切な有理数b,c,dを用いて
の形で表すと、
となる。 (3) 座標平面上で不等式
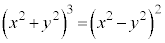
の表す領域において方程式
が定める曲線をCとする。座標平面において、原点を極、x軸の正の部分を始線とする極座標
を考えると、Cの極方程式は
となる。ただし、θの動く範囲は
である。また、曲線Cとx軸で囲まれた部分の面積は
である。
【広告】ここから広告です。ご覧の皆さまのご支援ご理解を賜りたく、よろしくお願いいたします。
【広告】広告はここまでです。
解答 極座標で考えた曲線で囲む面積を求める問題ですが、最後の面積は正直に解答するのは実戦的とは言えません。空所補充問題なので、簡単にすませたいところです。
∴
......[ヌ]
(3) C:
,
・・・@
,
・・・Aより、
@は、 ∴
または
・・・B
@の
より、
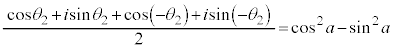
のときには、
においては(三角関数のグラフを参照)、
かつ「
または
」
よって、
このとき、
とBより、
・・・C
のとき
なので、Cは
を含みます。
よって、Cの極方程式は、
......[ネ]θの動く範囲は、
......[ノ]θが0から
まで変化するとき、
は、1から0まで単調に減少します。A,Cより、
・・・Dは、微分すると、
であって、
,
より
(0になるのは
のときのみ)より、1から0まで単調に減少します(関数の増減を参照)。
よって、曲線Cとx軸で囲まれた部分の面積Sは、
A,Cより、 [ヌ]を利用したいのですが、
が困ります。そこで漸化式を考えます(三角関数の積分を参照)。 ∴
Eに代入すると、 [ヌ]の結果と
を代入し、 注.誘導に沿っているとはいえ、上記ではあまりにも大変です。本問では空所補充問題ということもあり、極座標の面積公式
を用いて、 として求めるのが賢明です。
【広告】ここから広告です。ご覧の皆さまのご支援ご理解を賜りたく、よろしくお願いいたします。
【広告】広告はここまでです。
慶大理工数学TOP 数学TOP TOPページに戻る
【広告】ここから広告です。ご覧の皆さまのご支援ご理解を賜りたく、よろしくお願いいたします。
【広告】広告はここまでです。
各問題の著作権は
出題大学に属します。なお、解答は、
苦学楽学塾制作です。©2005-2026(有)りるらる 苦学楽学塾 随時入会受付中!理系大学受験ネット塾苦学楽学塾(ご案内はこちら)ご入会は、
まず、こちらまでメールを
お送りください。