京大理系数学'26年前期[2]
rは正の実数とする。1辺の長さが1の正四面体OABCにおいて、辺OA上に点Pをとる。点Pが辺OA上のどこにあっても、点Pを中心とする半径rの球面が、辺BCと共有点をもたないようなrの範囲を求めよ。ただし、点O,Aは辺OAに含まれ、点B,Cは辺BCに含まれるとする。
【広告】ここから広告です。ご覧の皆さまのご支援ご理解を賜りたく、よろしくお願いいたします。
【広告】広告はここまでです。
解答 空間ベクトルの計算問題です。
問題文より(内積を参照)、
,
,
,
・・・@
Pは辺OA (点O,Aを含む)上の点なので、
(
)
辺BC (点B,Cを含む)上の点をQとすると(ベクトルの1次独立を参照)、
(
)
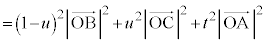
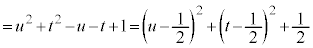
@より、
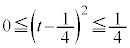
において、
(左の不等号の等号は
のとき、右の不等号の等号は
のとき、2次関数の最大最小を参照)
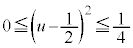
において、
(左の不等号の等号は
のとき、右の不等号の等号は
のとき)
よって、
,
(左の不等号の等号は
のとき、つまりPがOAの中点でQがBCの中点のとき、右の不等号の等号は
かつ
のとき、つまりPがOまたはAに来てかつQがBまたはCに来るとき)
球面の半径rが、
の取り得る値の範囲内であるときには、球面は辺BCと共有点を持ちます。つまり、
点Pが辺OA上のどこにあっても、点Pを中心とする半径rの球面が、辺BCと共有点をもたない ⇔
,
......[答]
【広告】ここから広告です。ご覧の皆さまのご支援ご理解を賜りたく、よろしくお願いいたします。
【広告】広告はここまでです。
京大理系数学TOP 数学TOP TOPページに戻る
【広告】ここから広告です。ご覧の皆さまのご支援ご理解を賜りたく、よろしくお願いいたします。
【広告】広告はここまでです。
各問題の著作権は
出題大学に属します。なお、解答は、
苦学楽学塾制作です。©2005-2026(有)りるらる 苦学楽学塾 随時入会受付中!理系大学受験ネット塾苦学楽学塾(ご案内はこちら)ご入会は、
まず、こちらまでメールを
お送りください。