“Œ‹ž‰ÈŠw‘å—HŠwŒn”Šw'25”N‘OŠú[3]
‚Æ‚·‚éB•\‚ªo‚éŠm—¦‚ªpC— ‚ªo‚éŠm—¦‚ª
‚Å‚ ‚é1–‡‚̃RƒCƒ“‚ðŽg‚Á‚ÄŽŸ‚̃Q[ƒ€‚ðs‚¤B
EƒQ[ƒ€‚ÌŠJŽn’iŠK‚Å“_”‚Í0“_B
EƒRƒCƒ“‚𓊂°‘±‚¯A•\‚ªo‚邲‚Æ‚É1“_‰ÁŽZ‚µA— ‚ªo‚½‚Æ‚«‚Í“_”‚Í‚»‚̂܂ÜB
E2‰ñ‘±‚¯‚Ä— ‚ªo‚½‚çƒQ[ƒ€‚ÍI—¹B
0ˆÈã‚Ì®”n‚ɑ΂µAƒQ[ƒ€‚ªI‚í‚Á‚½‚Æ‚«‚Én“_‚ƂȂÁ‚Ä‚¢‚éŠm—¦‚ð
‚Æ‚·‚éB
(1)
C
‚ðp‚ð—p‚¢‚Ä•\‚¹B (2)
‚ðn‚Æp‚ð—p‚¢‚Ä•\‚¹B (3)
‚ð–ž‚½‚·ŽÀ”x‚ɑ΂µ‚ÄŽŸŽ®‚ª¬‚è—§‚‚±‚Æ‚ðŽ¦‚¹B •K—v‚È‚ç‚ÎA
‚̂Ƃ«
‚Å‚ ‚邱‚Æ‚ðØ–¾‚È‚µ‚ÅŽg‚Á‚Ä‚à‚æ‚¢B (4) –³ŒÀ‹‰”
‚ðp‚ð—p‚¢‚Ä•\‚¹B
yLz‚±‚±‚©‚çL‚Å‚·B‚²——‚ÌŠF‚³‚܂̂²Žx‰‡‚²—‰ð‚ðŽ’‚è‚½‚A‚æ‚낵‚‚¨Šè‚¢‚¢‚½‚µ‚Ü‚·B
yLzL‚Í‚±‚±‚܂łł·B
‰ð“š@–â‘è•¶‚ÉuƒQ[ƒ€‚ªI‚í‚Á‚½‚Æ‚«v‚Æ‘‚©‚ê‚Ä‚¢‚é‚Ì‚ÅAÅŒã‚É2‰ñ‘±‚¯‚Ä— ‚ªo‚½ê‡‚ðl‚¦‚邱‚ƂɂȂè‚Ü‚·B3‰ñ‘±‚¯‚Ä— ‚ªo‚邱‚Ƃ͂Ȃ¢‚Ì‚ÅA•\‚ðZA— ‚ðœ‚Æ•\‚·‚ÆAÅŒã‚Ì3‰ñ‚ÍZœœ‚ɂȂè‚Ü‚·BÅŒã‚Ì3‰ñ‚ɂ‚¢‚ÄZœœ‚ƂȂéŠm—¦‚Í
‚Å‚·B@¥¥¥‡@
(1) ƒQ[ƒ€‚ªI‚í‚Á‚½‚Æ‚«1“_‚ƂȂÁ‚Ä‚¢‚é‚Ì‚ÍAÅŒã‚Ì3‰ñ‚ªZœœ‚ÅA‚±‚Ì’†‚ÉZ‚ª1‰ñ‚ ‚é‚Ì‚ÅA‚±‚̈ȑO‚ÉZ‚Í‚ ‚è‚Ü‚¹‚ñBœ‚ª3‰ñ˜A‘±‚·‚邱‚Ƃ͂Ȃ¢‚Ì‚ÅAÅŒã‚Ì3‰ñˆÈ‘O‚ÍA‚Ü‚¾Žn‚߂Ă¢‚È‚¢‚©Aœ‚Ì‚¢‚¸‚ê‚©‚Å‚·B‡@‚æ‚èA‘OŽÒ‚Ìꇂ̊m—¦‚Í
CŒãŽÒ‚Ìꇂ̊m—¦‚Í
‚Å‚ ‚èA—¼ŽÒ‚Í”r”½‚Ȃ̂ÅA‹‚ß‚éŠm—¦
‚ÍA
......[“š]ƒQ[ƒ€‚ªI‚í‚Á‚½‚Æ‚«2“_‚ƂȂÁ‚Ä‚¢‚é‚Ì‚ÍAÅŒã‚Ì3‰ñ‚Ì’†‚ÉZ‚ª1‰ñ‚ ‚é‚Ì‚ÅA‚±‚̈ȑO‚ÉZ‚ª1‰ñ‚ ‚è‚Ü‚·Bœ‚ª2‰ñ‘±‚‚Æ‚»‚±‚ÅI—¹‚µ‚Ä‚µ‚Ü‚¤‚Ì‚ÅAÅŒã‚Ì3‰ñˆÈ‘O‚ɂ‚¢‚Ä‚±‚¤‚È‚éo•û‚ÍA(i) ZC(ii) œZC(iii) ZœC(iv) œZœ‚Ì‚¢‚¸‚ê‚©‚Å‚·B‡@‚æ‚èA
(i)‚ÌŠm—¦‚ÍA
(ii)‚ÌŠm—¦‚ÍA
(iii)‚ÌŠm—¦‚ÍA
(iv)‚ÌŠm—¦‚ÍA
(i)C(ii)C(iii)C(iv)‚Í”r”½‚ÅA‹‚ß‚éŠm—¦
‚ÍA
......[“š]
(2) (1)‚Æ“¯—l‚Él‚¦‚Ü‚·BƒQ[ƒ€‚ªI‚í‚Á‚½‚Æ‚«‚Én“_‚ƂȂÁ‚Ä‚¢‚é‚Ì‚ÍAÅŒã‚Ì3‰ñ‚̂Ȃ©‚ÉZ‚ª1‰ñ‚ ‚é‚Ì‚ÅA‚±‚̈ȑO‚ÉZ‚ª
‰ñ‚ ‚è‚Ü‚·Bœ‚ª2‰ñ‘±‚‚Æ‚»‚±‚ÅI—¹‚µ‚Ä‚µ‚Ü‚¤‚Ì‚ÅA‚±‚¤‚È‚éo•û‚ÍA
‰ñ‚ÌZ‚ð•À‚ׂĂł«‚é
ŒÂ‚ÌZ‚Ì•À‚т̑OŒãAZ‚ÆZ‚ÌŠÔA‡‚킹‚ÄnŒÂ‚̈ʒu‚Éœ‚ª“ü‚é‚©“ü‚ç‚È‚¢‚©‚ª‚ ‚èAˆÈ‰º‚ł͜‚̈ʒu‚ª
‚ɂȂ邱‚ƂɒˆÓ‚µ‚ÄA ¥¥¥¥¥¥
¥¥¥¥¥¥
¥¥¥¥¥¥
¥¥¥¥¥¥
¥¥¥¥¥¥
¥¥¥¥¥¥
¥¥¥¥¥¥
¥¥¥¥¥¥
¥¥¥¥¥¥
¥¥¥¥¥¥
@(p‚Ì•À‚т̊ÔA‘OŒã‚ÌnƒJŠ‚É
‚ª“ü‚è‚Ü‚·)
@¥¥¥‡AƒQ[ƒ€‚ªI‚í‚Á‚½‚Æ‚«0“_‚ɂȂé‚̂͜œ‚Æo‚éꇂÅA‚»‚ÌŠm—¦
‚Í
‚Å‚·B‡A‚Í
‚ÌŒ‹‰Ê‚ðŠÜ‚݂܂·B‚æ‚Á‚ÄA
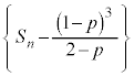
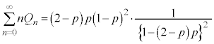
......[“š]•ʉðDˆÈã‚ÌŽ®•ÏŒ`‚ÍAŒ³X‚Ì
ŒÂ‚Ì€‚̘a‚ðA‰E‘¤‚©‚ç2€‚¸‚‚̘a‚ð‚܂Ƃ߂Ă¢‚é(‚܂Ƃ߂邽‚Ñ‚É
‚ª1‚‚¸‚Âo‚Ä‚‚é)‚̂ł·‚ªA•ª‚©‚è‚É‚‚¢‚©‚à’m‚ê‚Ü‚¹‚ñB‘Q‰»Ž®‚𗧂Ăĉ𓚂µ‚Ă݂܂·B 1‰ñ–Ú‚ÉZ‚ªo‚ăQ[ƒ€‚ªI—¹‚µ‚½‚Æ‚«‚Én“_‚ƂȂéŠm—¦‚ð
C1‰ñ–Ú‚Éœ‚ªo‚ăQ[ƒ€‚ªI—¹‚µ‚½‚Æ‚«‚Én“_‚ƂȂéŠm—¦‚ð
‚Æ‚µ‚Ü‚·B—¼ŽÒ‚Í”r”½‚Å
‚Å‚·B
‚͇@‚æ‚èA
‚Å‚·B
‚Í(1)‚ÌœZœœ‚ÌꇂÅA
‚Å‚·B1‰ñ–Ú‚ÉZ‚ªo‚ăQ[ƒ€‚ªI—¹‚µ‚½‚Æ‚«‚É
“_‚ƂȂéŠm—¦
‚ÍA2‰ñ–Ú‚ÉZ‚ªo‚Ä2‰ñ–ÚˆÈ~‚Ì“¾“_‚ªn“_‚ɂȂéê‡(Šm—¦
)‚ÆA2‰ñ–Ú‚ÉœC3‰ñ–Ú‚ÉZ‚ªo‚Ä3‰ñ–ÚˆÈ~‚Ì“¾“_‚ªn“_‚ɂȂéê‡(Šm—¦
)‚ð‡‚킹‚ÄA
@¥¥¥‡B1‰ñ–Ú‚Éœ‚ªo‚ăQ[ƒ€‚ªI—¹‚µ‚½‚Æ‚«‚É
“_‚ƂȂéŠm—¦
‚ÍA2‰ñ–Ú‚ÉZ‚ªo‚Ä3‰ñ–ÚˆÈ~‚Ån“_‚ƂȂéꇂÅA‡B‚ð—p‚¢‚ÄA
‚Æ‚¨‚‚ÆA
@¥¥¥‡C
‚Æ‚¨‚‚ÆA
@¥¥¥‡D@
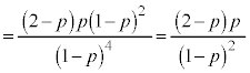
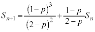
@ˆ
‡C|‡D‚æ‚èA ‚±‚ê‚æ‚èA
‚ÍA‰€
CΚӊ
‚Ì“™”ä”—ñ‚ÅA
ˆ
C
ˆ 
‚ƂȂè‚Ü‚·B
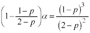
(3)
‚Æ‚¨‚‚ÆA
‚Å‚·B ‚±‚ê‚æ‚èA
‚±‚±‚Å
‚Æ‚·‚邯A
‚Å‚·B‚Ü‚½A
‚̂Ƃ«
‚Ȃ̂ÅA
‚Å‚·B‚æ‚Á‚ÄA
‚Å‚ ‚èA
‚ª¬‚è—§‚¿‚Ü‚·B ’D
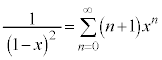
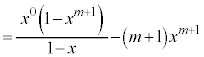
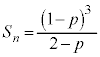
‚ðm‰ñ”÷•ª‚·‚邯A
(4) ‡A‚æ‚èA

@(n‚ð1‚‚¸‚炵‚½)(3)‚ÌŒ‹‰Ê‚Å
‚ÆŒ©‚邯A
......[“š]
yLz‚±‚±‚©‚çL‚Å‚·B‚²——‚ÌŠF‚³‚܂̂²Žx‰‡‚²—‰ð‚ðŽ’‚è‚½‚A‚æ‚낵‚‚¨Šè‚¢‚¢‚½‚µ‚Ü‚·B
yLzL‚Í‚±‚±‚܂łł·B
@@“Œ‹ž‰ÈŠw‘唊wTOP@@”ŠwTOP@@TOPƒy[ƒW‚É–ß‚é
yLz‚±‚±‚©‚çL‚Å‚·B‚²——‚ÌŠF‚³‚܂̂²Žx‰‡‚²—‰ð‚ðŽ’‚è‚½‚A‚æ‚낵‚‚¨Šè‚¢‚¢‚½‚µ‚Ü‚·B
yLzL‚Í‚±‚±‚܂łł·B
Še–â‘è‚Ì’˜ìŒ ‚Í
o‘è‘åŠw‚É‘®‚µ‚Ü‚·B‚È‚¨A‰ð“š‚ÍA
‹êŠwŠyŠwm§ì‚Å‚·B©2005-2025(—L)‚è‚é‚ç‚é ‹êŠwŠyŠwm Žž“ü‰ïŽó•t’†I—Œn‘åŠwŽóŒ±ƒlƒbƒgm‹êŠwŠyŠwm(‚²ˆÄ“à‚Í‚±‚¿‚ç)‚²“ü‰ï‚ÍA
‚Ü‚¸A‚±‚¿‚ç‚܂Ń[ƒ‹‚ð
‚¨‘—‚è‚‚¾‚³‚¢B