“Œ‹ž‰ÈŠw‘å—HŠwŒn2025”N‘OŠú”Šw“üŽŽ–â‘è
yLz‚±‚±‚©‚çL‚Å‚·B‚²——‚ÌŠF‚³‚܂̂²Žx‰‡‚²—‰ð‚ðŽ’‚è‚½‚A‚æ‚낵‚‚¨Šè‚¢‚¢‚½‚µ‚Ü‚·B
yLzL‚Í‚±‚±‚܂łł·B
[1]@ŠÖ”
‚ð
‚ɑ΂µ‚Ä
‚Æ’è‚ß‚éB (1) •s’èÏ•ª
‚ð‹‚ß‚æB (2)
(
)‚Ì‹tŠÖ”‚ð
‚Æ‚·‚éB‚Ü‚½AaCb‚ð
C
‚ƂȂéŽÀ”‚Æ‚·‚éB‚±‚̂Ƃ«’èÏ•ª ‚Ì’l‚ð‹‚ß‚æB
(3) ŠÖ”
‚ð
‚ɑ΂µ‚Ä
‚Æ’è‚ß‚éB
‚±‚̂Ƃ«
‚ɂ‚¢‚ÄA’è‹`ˆæ‚ð
‚Æ‚·‚é‹tŠÖ”
‚ª”÷•ª‰Â”\‚Å‚ ‚邱‚Æ‚ÍØ–¾‚È‚µ‚É”F‚߂Ă悢BŠÖ”
‚ð
‚ɑ΂µ‚Ä ‚Æ’è‚߂邯‚«A
‚ð‹‚ß‚æB [‰ð“š‚Ö]
[2]@‹óŠÔ‚Ì“_
‚ð’Ê‚è
‚ð•ûŒüƒxƒNƒgƒ‹‚Æ‚·‚é’¼ü‚ð
‚Æ‚µA“_
‚ð’Ê‚è
‚ð•ûŒüƒxƒNƒgƒ‹‚Æ‚·‚é’¼ü‚ðm‚Æ‚·‚éB (1) P‚ð
ã‚Ì“_‚Æ‚µAQ‚ðmã‚Ì“_‚Æ‚·‚éB‚Ü‚½A’¼üPQ‚Í’¼ü
‚Æ’¼üm‚É‚’¼‚Å‚ ‚邯‚·‚éB‚±‚̂Ƃ«P‚ÆQ‚ÌÀ•WA‚¨‚æ‚Ñü•ªPQ‚Ì’·‚³‚ð‹‚ß‚æB (2)
ã‚É2“_ ‚ª‚ ‚èAmã‚É2“_
‚ª‚ ‚邯‚·‚éB‚½‚¾‚µAt ‚ÍŽÀ”‚Æ‚·‚éBŽl–Ê‘ÌABCD‚Ì‘ÌÏ‚ð
‚Æ‚·‚éB
‚ð‹‚ß‚æB (3) t ‚ª
‚ð“®‚‚Æ‚«A
‚ÌÅ‘å’l‚ÆÅ¬’l‚ð‹‚ß‚æB
[‰ð“š‚Ö]
[3]@
‚Æ‚·‚éB•\‚ªo‚éŠm—¦‚ªpC— ‚ªo‚éŠm—¦‚ª
‚Å‚ ‚é1–‡‚̃RƒCƒ“‚ðŽg‚Á‚ÄŽŸ‚̃Q[ƒ€‚ðs‚¤B
EƒQ[ƒ€‚ÌŠJŽn’iŠK‚Å“_”‚Í0“_B
EƒRƒCƒ“‚𓊂°‘±‚¯A•\‚ªo‚邲‚Æ‚É1“_‰ÁŽZ‚µA— ‚ªo‚½‚Æ‚«‚Í“_”‚Í‚»‚̂܂ÜB
E2‰ñ‘±‚¯‚Ä— ‚ªo‚½‚çƒQ[ƒ€‚ÍI—¹B
0ˆÈã‚Ì®”n‚ɑ΂µAƒQ[ƒ€‚ªI‚í‚Á‚½‚Æ‚«‚Én“_‚ƂȂÁ‚Ä‚¢‚éŠm—¦‚ð
‚Æ‚·‚éB
(1)
C
‚ðp‚ð—p‚¢‚Ä•\‚¹B (2)
‚ðn‚Æp‚ð—p‚¢‚Ä•\‚¹B (3)
‚ð–ž‚½‚·ŽÀ”x‚ɑ΂µ‚ÄŽŸŽ®‚ª¬‚è—§‚‚±‚Æ‚ðŽ¦‚¹B •K—v‚È‚ç‚ÎA
‚̂Ƃ«
‚Å‚ ‚邱‚Æ‚ðØ–¾‚È‚µ‚ÅŽg‚Á‚Ä‚à‚æ‚¢B (4) –³ŒÀ‹‰”
‚ðp‚ð—p‚¢‚Ä•\‚¹B [‰ð“š‚Ö]
[4]@”—ñ
‚ð
‚É‚æ‚è’è‚ßA”—ñ
‚ð
‚É‚æ‚è’è‚ß‚éB‚½‚¾‚µA
‚Å‚ ‚é‚à‚̂Ƃ·‚éB
(1)
‚ɑ΂µ‚ÄA
‚ð‹‚ß‚æB (2)
(m‚Í®”)‚ɑ΂µ‚ÄA
‚ð‹‚ß‚æB (3) –³ŒÀ‹‰”
‚ð‹‚ß‚æB [‰ð“š‚Ö]
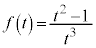
[5](1) ŠÖ”
@(
)‚Ì‘Œ¸‚𒲂×AƒOƒ‰ƒt‚ÌŠTŒ`‚ð‚©‚¯B
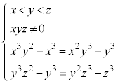
(2) ŽÀ”xCyCz‚ªAðŒ
‚ð–ž‚½‚µ‚È‚ª‚ç“®‚‚Æ‚«Ax‚ªŽæ‚蓾‚é’l‚͈̔͂ð‹‚ß‚æB
[‰ð“š‚Ö]
yLz‚±‚±‚©‚çL‚Å‚·B‚²——‚ÌŠF‚³‚܂̂²Žx‰‡‚²—‰ð‚ðŽ’‚è‚½‚A‚æ‚낵‚‚¨Šè‚¢‚¢‚½‚µ‚Ü‚·B
yLzL‚Í‚±‚±‚܂łł·B
@@“Œ‹ž‰ÈŠw‘唊wTOP@@”ŠwTOP@@TOPƒy[ƒW‚É–ß‚é
yLz‚±‚±‚©‚çL‚Å‚·B‚²——‚ÌŠF‚³‚܂̂²Žx‰‡‚²—‰ð‚ðŽ’‚è‚½‚A‚æ‚낵‚‚¨Šè‚¢‚¢‚½‚µ‚Ü‚·B
yLzL‚Í‚±‚±‚܂łł·B
Še–â‘è‚Ì’˜ìŒ ‚Í
o‘è‘åŠw‚É‘®‚µ‚Ü‚·B‚È‚¨A‰ð“š‚ÍA
‹êŠwŠyŠwm§ì‚Å‚·B©2005-2025(—L)‚è‚é‚ç‚é ‹êŠwŠyŠwm Žž“ü‰ïŽó•t’†I—Œn‘åŠwŽóŒ±ƒlƒbƒgm‹êŠwŠyŠwm(‚²ˆÄ“à‚Í‚±‚¿‚ç)‚²“ü‰ï‚ÍA
‚Ü‚¸A‚±‚¿‚ç‚܂Ń[ƒ‹‚ð
‚¨‘—‚è‚‚¾‚³‚¢B