“Œ‹ž‰ÈŠw‘å—HŠwŒn”Šw'25”N‘OŠú[4]
”—ñ
‚ð
‚É‚æ‚è’è‚ßA”—ñ
‚ð
‚É‚æ‚è’è‚ß‚éB‚½‚¾‚µA
‚Å‚ ‚é‚à‚̂Ƃ·‚éB
(1)
‚ɑ΂µ‚ÄA
‚ð‹‚ß‚æB (2)
(m‚Í®”)‚ɑ΂µ‚ÄA
‚ð‹‚ß‚æB (3) –³ŒÀ‹‰”
‚ð‹‚ß‚æB
yLz‚±‚±‚©‚çL‚Å‚·B‚²——‚ÌŠF‚³‚܂̂²Žx‰‡‚²—‰ð‚ðŽ’‚è‚½‚A‚æ‚낵‚‚¨Šè‚¢‚¢‚½‚µ‚Ü‚·B
yLzL‚Í‚±‚±‚܂łł·B
‰ð“š@ƒtƒBƒ{ƒiƒbƒ`‚Ì”—ñ‚Ì–â‘è‚Å‚·‚ªA‘Q‰»Ž®
@(
)@¥¥¥‡@ ‚É]‚Á‚ÄA”—ñ
‚Ìʼn‚Ì•û‚Ì€‚ð‘‚‚ÆA1C1C2C3C5C8C13C21C34C55C89C¥¥¥@‚ƂȂÁ‚Ä‚¢‚Ü‚·B
(1)
C
@¥¥¥‡A
C
C
‚ƂȂÁ‚Ä‚¢‚é‚Ì‚ÅAn‚ª‹ô”‚̂Ƃ«‚É
Cn‚ªŠï”‚̂Ƃ«‚É
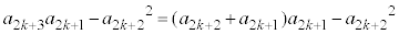
@(–)‚ƂȂÁ‚Ä‚¢‚邱‚Æ‚ª—\‘z‚³‚ê‚é‚Ì‚ÅA‚±‚ê‚ð”Šw“I‹A”[–@‚É‚æ‚èØ–¾‚µ‚Ü‚·BE
C
‚̂Ƃ«A(–)‚͇A‚æ‚謂藧‚¿‚Ü‚·B Ek‚ðŽ©‘R”‚Æ‚µ‚ÄA
C
‚̂Ƃ«(–)‚ª¬—§‚·‚邯‰¼’肵‚Ü‚·B‚‚܂èA
C
‚ª¬‚è—§‚‚Ɖ¼’肵‚Ü‚·B ‘Q‰»Ž®‡@‚ð—p‚¢‚邯A
‚æ‚Á‚ÄA
C
‚̂Ƃ«‚à(–)‚ª¬—§‚µ‚Ü‚·B ˆÈã‚æ‚èA”Šw“I‹A”[–@‚É‚æ‚è(–)‚ª¬—§‚µ‚Ü‚·Bn‚ª‹ô”‚̂Ƃ«‚É
Cn‚ªŠï”‚̂Ƃ«‚É
......[“š] •ʉðD
‚Ƈ@‚ð–ž‚½‚·”—ñ‚̈ê”Ê€
‚ÍA“Á«•û’öŽ®F
‚̉ð
(
C
‚Æ‚µ‚Ü‚·)‚ð—p‚¢‚ÄA ‚Æ•\‚¹‚Ü‚·B‚±‚ê‚ð—p‚¢‚Ä‹‚߂邱‚Æ‚à‚Å‚«‚Ü‚·B
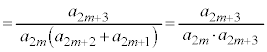
(2)
@¥¥¥‡C ‚ð—p‚¢‚ÄA
(1)‚ÌŒ‹‰Ê‚Å
(Šï”)‚Æ‚·‚邯A
D
‚ƂȂé‚Ì‚ÅA ˆ
......[“š]
(3) m‚ðŽ©‘R”‚Æ‚µ‚ÄA
‚æ‚èA
‚ƂȂé‚Ì‚ÅA 
@¥¥¥‡D‚±‚±‚ÅA
C
‚æ‚èA
‚Å‚·B
‚ª–â‘è‚ɂȂè‚Ü‚·‚ªA
‚æ‚èA”—ñ
‚Ìʼn‚Ì•û‚ð’²‚×‚é‚ÆA
C
C
C
C
C
C
C
‚ƂȂÁ‚Ä‚¢‚ÄA
C
‚ƂȂ邱‚Æ‚ª—\‘ª‚Å‚«‚Ü‚·B
‚̂Ƃ«A—\‘ª‚ͬ—§‚µ‚Ü‚·B
C
‚ª¬—§‚·‚邯‚«A ‚ƂȂé‚Ì‚ÅA‹A”[“I‚É—\‘ª‚ͬ—§‚µ‚Ü‚·B
‚±‚ê‚æ‚èA
‚Å‚ ‚Á‚ÄA
......[“š]
yLz‚±‚±‚©‚çL‚Å‚·B‚²——‚ÌŠF‚³‚܂̂²Žx‰‡‚²—‰ð‚ðŽ’‚è‚½‚A‚æ‚낵‚‚¨Šè‚¢‚¢‚½‚µ‚Ü‚·B
yLzL‚Í‚±‚±‚܂łł·B
@@“Œ‹ž‰ÈŠw‘唊wTOP@@”ŠwTOP@@TOPƒy[ƒW‚É–ß‚é
yLz‚±‚±‚©‚çL‚Å‚·B‚²——‚ÌŠF‚³‚܂̂²Žx‰‡‚²—‰ð‚ðŽ’‚è‚½‚A‚æ‚낵‚‚¨Šè‚¢‚¢‚½‚µ‚Ü‚·B
yLzL‚Í‚±‚±‚܂łł·B
Še–â‘è‚Ì’˜ìŒ ‚Í
o‘è‘åŠw‚É‘®‚µ‚Ü‚·B‚È‚¨A‰ð“š‚ÍA
‹êŠwŠyŠwm§ì‚Å‚·B©2005-2025(—L)‚è‚é‚ç‚é ‹êŠwŠyŠwm Žž“ü‰ïŽó•t’†I—Œn‘åŠwŽóŒ±ƒlƒbƒgm‹êŠwŠyŠwm(‚²ˆÄ“à‚Í‚±‚¿‚ç)‚²“ü‰ï‚ÍA
‚Ü‚¸A‚±‚¿‚ç‚܂Ń[ƒ‹‚ð
‚¨‘—‚è‚‚¾‚³‚¢B