東大理系数学'25年前期[2]
(1)
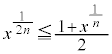
のとき、不等式
を示せ。
(2) 次の極限を求めよ。
【広告】ここから広告です。ご覧の皆さまのご支援ご理解を賜りたく、よろしくお願いいたします。
【広告】広告はここまでです。
解答 (2)は、はさみうちに持ち込むのだろう、その際に(1)を使うのだろう、という予測は立ちますが、逆側に挟む相手を見つけるのに苦労します。
(1)
とおきます。
(2) 積分区間は
です。このとき
,
であり、(1)の不等式を用いて、
よって、
また、
より、
よって、
・・・B 注.試験会場で、@は、(1)を利用するのだろうと思えば、すぐに気づけると思います。試験会場で、Bにどうやって気づくか、ということが本問のポイントです。
@からAを計算し、A×nで
とした極限を調べると、
になりそうです。従って、はさみうちの小さい側も
になる必要があります。当然、積分の結果に
が出てこないといけません。
が出てくるので
が出てくるはずです。残りの
を
としてひねり出すことに気づければ、小さい側の積分が
となっていればよいだろう、ということになります。これで、小さい側の不等式は、
,つまり、
であればよい、ということになります。
・・・C@,A,B,Cより、

・・・D右辺について、

・・・Eよって、Eで
とすると、
......[答]
【広告】ここから広告です。ご覧の皆さまのご支援ご理解を賜りたく、よろしくお願いいたします。
【広告】広告はここまでです。
東大理系数学TOP 数学TOP TOPページに戻る
【広告】ここから広告です。ご覧の皆さまのご支援ご理解を賜りたく、よろしくお願いいたします。
【広告】広告はここまでです。
各問題の著作権は
出題大学に属します。©2005-2025(有)りるらる 苦学楽学塾 随時入会受付中!理系大学受験ネット塾苦学楽学塾(ご案内はこちら)ご入会は、
まず、こちらまでメールを
お送りください。