東大理系数学'26年前期[2]
nを正の整数とする。座標平面上の
個の点がなす集合
から相異なる3点を選ぶ。ただし、どの3点も等確率で選ばれるものとする。選んだ3点が三角形の3頂点となる確率を
とする。
(1)
を求めよ。
(2) mを2以上の整数とする。
を求めよ。
【広告】ここから広告です。ご覧の皆さまのご支援ご理解を賜りたく、よろしくお願いいたします。
【広告】広告はここまでです。
解答 以下では、文字mが二重使用になってしまいました。(2)の問題文のmをsとして解答し、最後にsをmに戻しています。
座標平面上の相異なる3点が三角形の3頂点となるのは、3点が一直線上に並ばないときです。本問では、余事象、選ばれた3点
,
,
が一直線上に並ぶ方を考えます。
選ばれた相異なる3点が一直線上に並ぶのは、
(i) 3点のx座標
,
,
が一致するとき、つまり、整数jを
として、
となるとき。 (ii) 3点のy座標
,
,
が一致するとき、つまり、整数kを
として、
となるとき。 (iii) 3点が傾きm (mは、0でない整数で、3点とも
,
を満たす。
の場合は(ii))の直線上にあるとき。 です。
(1)
のとき、(i)では(右図黒線上の点)、jの選び方が
の3通り、整数yの選び方が、1から5までの整数の中から3個を選ぶ(組み合わせを参照)ので、
通り。
の選び方は、
通りあります。(ii)では(右図緑線上の点)、
,
,
は、
,
,
の1通り。kの選び方が1から5までの5通り。
の選び方は、5通りあります。 (iii)では、傾きmは、直線が
,
,
を通るときの
(右図赤線),直線が
,
,
を通るときの
(右図青線),直線が
,
,
を通るときの
(右図橙色線),直線が
,
,
を通るときの
(右図水色線)の4通りの場合があります。
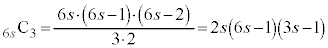
のとき、直線が、
を通る場合、
を通る場合、
を通る場合の3通りあります。
のときも同様に3通り。
のとき、1通り。
のときも1通り。
合わせて、
通り。(i),(ii),(iii)合わせて、
通りあります。
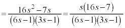
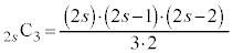
一方、
個の点から3点を選ぶ選び方は、
通りあります。余事象の方を考えていたので、
.......[答]
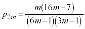
(2) 文字mを二重に使うことになるため、問題文のmをsと書き、最後にsをmに戻します。sを2以上の整数として、
を求めるので、
のときを考えます。このとき、(1)の
のときと同様に考えて、 (i)では、jの選び方が
の3通り、整数yの選び方が、1から
までの整数の中から3個を選ぶので、
通り
の選び方は、
通りあります。(ii)では、
,
,
は、
,
,
の1通り。kの選び方が1から
までの
通り。
の選び方は、
通りあります。 (iii)では、傾きmは、直線が
,
,
を通るとき最大で、このとき
です。傾きmが最小になるのは、直線が
,
,
を通るときで、このとき
です。
の場合は(ii)の場合です。
かつ
のすべての整数値mについて、3点が、傾きmの直線上に並ぶときに三角形はできません。三角形ができないような3頂点は、
の場合、例えば
,
,
(
です)です。
の場合、例えば
,
,
です。
個の点は、直線
に関して対称に位置するので、mがある自然数となったときの3頂点の選び方の数とmがその自然数にマイナスをつけた負整数であるときの3頂点の選び方の数は同じです。よって、
の場合のみを考え、あとで2倍します。
上記のように、3点が傾きm (
)の直線上に並ぶとき、直線が
を通るときには、直線は
も通ります。
である必要がありますが、
を満たす整数t は、
個存在します。つまり、3点が直線上に並ぶ傾きmの直線は、
を通るもの、
を通るもの、・・・、
を通るものの
本存在します。
注.分かりにくいので、
,
の場合で説明すると、傾き
の直線は、
と
を通るもの、
と
を通るもの、
と
を通るもの、
と
を通るものの、
本存在します。 傾き
の直線は、
と
を通るもの、
と
を通るものの、
本存在します。
,つまり、
を満たす正整数mは、
です。
三角形の3頂点とならない3点の選び方は、
(i),(ii),(iii)を合わせて、三角形の3頂点とならない3点の選び方は、

通り一方、
個の点から3個を選ぶ選び方は、
通り求める確率
は、
として、
......[答]
【広告】ここから広告です。ご覧の皆さまのご支援ご理解を賜りたく、よろしくお願いいたします。
【広告】広告はここまでです。
東大理系数学TOP 数学TOP TOPページに戻る
【広告】ここから広告です。ご覧の皆さまのご支援ご理解を賜りたく、よろしくお願いいたします。
【広告】広告はここまでです。
各問題の著作権は
出題大学に属します。なお、解答は、
苦学楽学塾制作です。©2005-2026(有)りるらる 苦学楽学塾 随時入会受付中!理系大学受験ネット塾苦学楽学塾(ご案内はこちら)ご入会は、
まず、こちらまでメールを
お送りください。