東大理系数学'26年前期[6]
nを正の整数とする。nの正の約数のうち、3で割って1余るものの個数を
,3で割って2余るものの個数を
とする。
(1)
,
を求めよ。
(2)
を示せ。
(3)
であるとき、
がとりうる値を求めよ。
【広告】ここから広告です。ご覧の皆さまのご支援ご理解を賜りたく、よろしくお願いいたします。
【広告】広告はここまでです。
解答 (1)を詳しく調べると問題で言いたいことが見えてきます。(2)も直感的にはすぐに分かるし、場合分けすれば(3)の結果も分かるのですが、どうしてそうなのか、という説明に難航します。
(1) 2800を素因数分解すると、
です。2800の約数は、
個ありますが、 大きい方が見つけにくくなるので、2800を上側の数で割ると下側の数になるように上下のセットにして並べました。
各桁の数字を加え合わせて、3で割った余りを調べると、上下で3で割った余りが同じになることに気づきます。上下の15組のうち、
の8組では、上下の数はともに3で割ると1余ります。
よって、
,
......[答]
(2) 2800の素因数分解
に出てくる素数2,5,7のうち、2と5は3で割ると2余り、7は3で割ると1余ります。2800の約数のうち、例えば
は、3で割ると1余りますが、3で割ると2余る数を2つかけた積を3で割ると1余ります。
は、3で割ると2余りますが、3で割ると2余る数を3つかけた積を3で割ると2余ります。3で割ると2余る数と3で割ると1余る数をかけた積を3で割ると2余ります。 これで、3で割ると1余る数をかけても、3で割った余りには変化がなく、3で割ると2余る数を偶数個かけた積を3で割ると1余り、3で割ると2余る数を奇数個かけた積を3で割ると2余るということが分かります。 ・・・(*)
つまり、2800の約数を素因数分解したときの2の指数と5の指数の和(3で割ると2余る数を何回かけているか、偶数回かけると1余り、奇数回かけると2余ります)を調べればよいのです。試験会場では、2800の約数全てを調べる余裕はありませんが、以下の表に、約数、約数を素因数分解したときの7の指数,5の指数,2の指数,5の指数と2の指数の和,約数を3で割った余りを全て書いておきます。
| 約数 | 7の指数 | 5の指数 | 2の指数 | 5の指数と2の 指数の和 | 約数を3で 割った余り |
| 1 | 0 | 0 | 0 | 0 | 1 |
| 2 | 0 | 0 | 1 | 1 | 2 |
| 4 | 0 | 0 | 2 | 2 | 1 |
| 8 | 0 | 0 | 3 | 3 | 2 |
| 16 | 0 | 0 | 4 | 4 | 1 |
| 5 | 0 | 1 | 0 | 1 | 2 |
| 10 | 0 | 1 | 1 | 2 | 1 |
| 20 | 0 | 1 | 2 | 3 | 2 |
| 40 | 0 | 1 | 3 | 4 | 1 |
| 80 | 0 | 1 | 4 | 5 | 2 |
| 25 | 0 | 2 | 0 | 2 | 1 |
| 50 | 0 | 2 | 1 | 3 | 2 |
| 100 | 0 | 2 | 2 | 4 | 1 |
| 200 | 0 | 2 | 3 | 5 | 2 |
| 400 | 0 | 2 | 4 | 6 | 1 |
| 7 | 1 | 0 | 0 | 0 | 1 |
| 14 | 1 | 0 | 1 | 1 | 2 |
| 28 | 1 | 0 | 2 | 2 | 1 |
| 56 | 1 | 0 | 3 | 3 | 2 |
| 112 | 1 | 0 | 4 | 4 | 1 |
| 35 | 1 | 1 | 0 | 1 | 2 |
| 70 | 1 | 1 | 1 | 2 | 1 |
| 140 | 1 | 1 | 2 | 3 | 2 |
| 280 | 1 | 1 | 3 | 4 | 1 |
| 560 | 1 | 1 | 4 | 5 | 2 |
| 175 | 1 | 2 | 0 | 2 | 1 |
| 350 | 1 | 2 | 1 | 3 | 2 |
| 700 | 1 | 2 | 2 | 4 | 1 |
| 1400 | 1 | 2 | 3 | 5 | 2 |
| 2800 | 1 | 2 | 4 | 6 | 1 |
試験会場では、このうち特徴的な場合を調べればよいと思います。
上記(*)を確かめておきます。3で割ると1余る数を、k,lを整数として
,
とすると、その積は、 となり、3で割ると1余ります。3で割ると2余る数を
とすると、3で割ると1余る数と3で割ると2余る数の積は、 となり、3で割ると2余ります。3で割ると2余る数同士の積は、
となり、3で割ると1余ります。
これより、3で割ると1余る数をかけても、3で割った余りには変化がなく、3で割ると2余る数を偶数個かけた積を3で割ると1余り、3で割ると2余る数を奇数個かけた積を3で割ると2余ります。 ・・・(**)
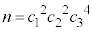
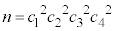
nの素因数分解を
(jは自然数、
,
,・・・,
は素数、
,
,・・・,
は自然数)とします。
,
,・・・,
の中に3があれば、nは3で割り切れるので、
です。・・・@
以下、
,
,・・・,
はいずれも3ではないとして考えます。(**)より、
,
,・・・,
のうち、3で割って1余るものはnを3で割った余りには関係なく、3で割って2余るものだけを考えればよいので、
,
,・・・,
のうち3で割って2余るものを、
,
,・・・,
(kは自然数で
)とすると、残りの
,・・・,
は3で割ると1余ります。
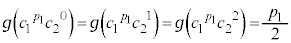
また、
の約数の個数を、
・・・A
とします。(**)より、nの素因数分解のうち、3で割ると2余る素数
,
,・・・,
の指数の和
が奇数であるときに、nを3で割ると2余ります。指数の和
が偶数であるときには、nを3で割ると1余ります。 ・・・(***)
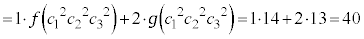
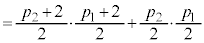
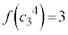
(1)の
の場合
なのですが、上記の表を見てなぜかと考えると、各約数の2の指数が0〜4の奇数通り、5の指数が0〜2の奇数通りで、5の指数が0のとき、5の指数と2の指数の和が、偶数であるものが3通り、奇数であるものが2通りで、偶数の方が多く、5の指数が1のとき、5の指数と2の指数の和が、偶数であるものが2通り、奇数であるものが3通りで、5の指数が1増えるごとに、偶奇が入れ替わることが分かります。5の指数が0か1だけなら、両者で指数の和が偶数のものと奇数のものとは同数になります。ですが、5の指数が2の場合があり、このときは、5の指数が0の場合と同じく、指数の和が偶数であるものが3通り、奇数であるものが2通りで、5の指数が0か1か2になる場合では、指数の和が偶数であるものの方が多くなり、7の指数は無関係なので、
ということになっています。つまり、素因数分解のうち、3で割ると2余る素数の5と2の部分
の指数がともに偶数なので、
になっていると分かります。
以上より、 (i)
において、3で割ると2余る素数
,
,・・・,
の指数
,
,・・・,
の中に少なくとも1個奇数があって、仮に
が奇数だとします(
,・・・,
のどれであっても同様です)。
が偶数であるものの個数、つまり、
を3で割ると1余る約数の個数は
(
とします),
が奇数であるものの個数、つまり、
を3で割ると2余る約数の個数は
(
とします)です。
を3で割ると1余る約数の個数
は、
なので、
を3で割ると1余る約数の個数
に等しく、
を3で割ると2余る約数の個数
は、
なので、
を3で割ると2余る約数の個数
に等しく、
を3で割ると1余る約数の個数
は、
を3で割った余りは2であり、
が偶数、つまり、
が奇数であるものの個数
に等しく、
を3で割ると2余る約数の個数
は、
が奇数、つまり、
が偶数であるものの個数
に等しく、以後、
は、
を3で割った余りは1であり、
が偶数、つまり、
が偶数であるものの個数
に等しく、
は、
が奇数、つまり、
が奇数であるものの個数
に等しく、
は奇数なので(以下、
の指数に注意)、0,2,・・・,
が偶数であり、 1,3,・・・,
が奇数であり、 Aより、
よって、
・・・B
(ii)
において、3で割ると2余る素数
,
,・・・,
の指数
,
,・・・,
が全て偶数だとします。
の約数は、
,
,・・・,
の
個ありますが、このうち、1,
,・・・,
の
個は、3で割ると1余るので、
・・・Cここで、
になっています。
の約数は、
,
,・・・,
の
個ありますが、このうち、1,
,・・・,
の
個は、3で割ると1余り、残りの
,
,・・・,
の
個は3で割ると2余るので、
・・・Dよって、
・・・E
ここで、
になっています。
これを繰り返して、
・・・Fだと仮定すると、
の約数は、
,
,・・・,
の
個ありますが、このうち、1,
,・・・,
の
個は、3で割ると1余り、残りの
,・・・,
の
個は3で割ると2余るので、
(∵ F)よってC,Dと合わせて帰納的に、
Aより、
,
・・・G
∴
・・・H @,B,Hより、
(3)
ということは、Gより、
はNを約数にもつので、
または
または
または
です。 ・
のとき、nの素因数分解は、3で割って1余る素数を含まず、3で割って2余る素数の累乗の積の形をしています。 pを自然数、3で割って2余る素数をcとして
と書けるとき、
となるために、nは
,
,・・・,
を約数に持ちます(3で割って2余る約数は
個です)。このとき、nが
を約数に持つ(
)か持たない(
)かの2通りありますが、nが
を約数に持たなければ、3で割って1余る約数は、
,
,・・・,
の15個で
(pは奇数),nが
を約数に持てば、3で割って1余る約数は、
,
,・・・,
の16個で
(pは偶数),この場合は、
・・・I
の場合を掲げたので、以後は、
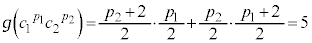
となる場合、即ち、素因数分解において、3で割ると2余る素数の指数が全て正の偶数となる場合のみ考えます。
(
,
は3で割ると2余る素数、
,
は正の偶数)の形に書けるとき、Dより、 とすると、
,
ですが、これを満たす自然数
,
は存在しません。
(
,
,
は3で割ると2余る素数、
,
,
は正の偶数)の形に書けるとき、指数が大きくなると
も大きくなるので、まず、
の場合(
)を考えます。3で割ると2余る約数の個数
は、
のみの1個で、3で割ると1余る約数の個数
は、
,
の2個で、
,
,以下、
,
,
が3で割ると2余る素数のとき、
,
です。
Dより、
・・・Jとなり
です。
これよりも指数が大きいときは、
は15より大きくなります。
の場合、
の約数の個数は
個なので、Jより、
です。
以上より、
(
,
,
,・・・,
は3で割って2余る素数)のタイプで
となるものはありません。・
のとき、
(
は3で割ると2余る素数、
は3で割ると1余る素数)の場合、
は3で割ると1余り、
より、
です。
(
,
は3で割ると2余る自然数、
は3で割ると1余る素数)の場合、
です。Gより
,
ですが、Dより、これを満たす自然数
,
は存在しません。
(
,
,
は3で割ると2余る自然数、
は3で割ると1余る素数)の場合、指数の小さい
の場合を考えます。Jより、 指数や素数の個数が大きくなれば
も大きくなるので、K以外に
となる場合はありません。 ・
のとき、
(
は3で割ると2余る自然数、
は3で割ると1余る自然数)の場合、
は3で割ると1余り、
より、
です。
であり、
です。 より
となります。このとき、
・・・L
(
,
は3で割ると2余る自然数、
は3で割ると1余る素数)の場合、
です。Gより
,
ですが、Dより、これを満たす自然数
,
は存在しません。
指数や素数の個数が大きくなれば
も大きくなるので、L以外に
となる場合はありません。 ・
のとき、
(
は3で割ると2余る自然数、
は3で割ると1余る自然数)の場合、
は3で割ると1余り、
より、
です。
であり、
です。 より
となります。このとき、
・・・M
(
,
は3で割ると2余る自然数、
は3で割ると1余る素数)の場合、
です。Gより
,
ですが、Dより、これを満たす自然数
,
は存在しません。
(
は3で割ると2余る自然数、
,
は3で割ると1余る素数)の場合、
です。Gより
,
ですが、
であれば、
の約数で3で割ると2余る数
が1つ存在します。このとき、nの約数は
個ありますが、
・・・NとなりMと同じ値になります。
指数や素数の個数が大きくなれば
も大きくなるので、M,N以外に
となる場合はありません。 I,K,L,Mより、
がとりうる値は、15,16,18,20,30 ......[答]
【広告】ここから広告です。ご覧の皆さまのご支援ご理解を賜りたく、よろしくお願いいたします。
【広告】広告はここまでです。
東大理系数学TOP 数学TOP TOPページに戻る
【広告】ここから広告です。ご覧の皆さまのご支援ご理解を賜りたく、よろしくお願いいたします。
【広告】広告はここまでです。
各問題の著作権は
出題大学に属します。なお、解答は、
苦学楽学塾制作です。©2005-2026(有)りるらる 苦学楽学塾 随時入会受付中!理系大学受験ネット塾苦学楽学塾(ご案内はこちら)ご入会は、
まず、こちらまでメールを
お送りください。