東大物理'26年前期[1]

路面上を走る一輪車の運動を考えよう。図1-1 のように、一輪車と搭乗者を、 動力が内蔵された車輪が先端に付いた剛体棒としてモデル化する。 この剛体棒は太さと密度が一様であり、その長さ、質量はそれぞれLmである。車輪の大きさと質量は考えなくてよい。ここでは、車輪と路面間にはたらく摩擦力は静止摩擦力のみとし、その静止摩擦係数をμとする。この車輪付き剛体棒がすべらずに運動するとき、剛体棒は車輪と路面間の摩擦力を介して加速、減速する。重力加速度の大きさをとする。空気抵抗は無視してよい。

T まず、剛体棒が水平面上で等加速度直線運動をする場合を考える。図1-1のように、剛体棒が進行方向に加速するとき、車輪と路面の間ですべらずに加速することができる加速度の大きさの最大値を求めよ。

U 次に、図1-2のように剛体棒が水平な路面上で円運動をする場合を考える。図1-3は、図1-2中の剛体棒を進行方向の真後ろから見た図である。円運動の中心軸から車輪と路面の接触点までの水平距離をRとする。ここで、であり、剛体棒が傾くことによる重心の円運動軌道の半径の変化は無視してよい。また、簡単のため剛体棒の進行方向への傾きは考えなくてよい。

(1) 1-3において、剛体棒と水平面がなす角をθとする。剛体棒が速さで等速円運動をしている場合のRのうち必要なものを用いて表せ。
(2) 前問U(1)において、剛体棒がすべらずに等速円運動をすることができる速さの最大値をとする。を求めよ。
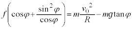
(3) 速さ()で等速円運動をしている状態から、半径Rを保ったまま、剛体棒を進行方向に一定の加速度の大きさaでごく短時間のあいだ加速させる。このとき、車輪と路面の間にはたらく静止摩擦力の大きさを求めよ。ただし、車輪と路面間にすべりは生じていないものとする。
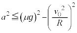
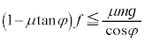
(4) 前問U(3)において、剛体棒がすべることなく加速できるaの最大値を求めよ。
III 最後に、図1-4のように剛体棒がすりばち状の路面上を円運動する場合を考える。図1-5は、図1-4中の剛体棒を進行方向の真後ろから見た図である。路面と水平面のなす角をφ()とする。また、設問Uと同様に円運動の中心軸から剛体棒と路面の接触点までの水平距離をRとする。であり、剛体棒が傾くことによる重心の円運動軌道の半径の変化は無視してよい。また、簡単のため剛体棒の進行方向への傾きは考えなくてよい。


(1) 1-5において、剛体棒と水平面がなす角をθとする。剛体棒が速さ で等速円運動をしている場合のRφのうち必要なものを用いて表せ。
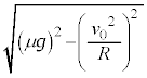
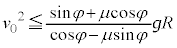
(2) 剛体棒がすべらずに等速円運動をすることができる速さの最大値をとする。を求めよ。ただしとする。
(3) 高速道路のカーブや競輪のコースでは, 外側が高くなるように勾配がついている。この理由について、設問U(2)およびV(2)の結果にもとづいて簡潔に述べよ。


【広告】ここから広告です。ご覧の皆さまのご支援ご理解を賜りたく、よろしくお願いいたします。
【広告】広告はここまでです。

解答 昨年の[1]もそうでしたが、力学の基本問題であっても、物理では、易しいというわけではありません。丁寧に物理的に考察する必要があります。

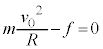
T 剛体棒が路面から受ける静止摩擦力f,剛体棒の加速度aとして、運動方程式

鉛直方向の力のつり合いより、剛体棒が路面から受ける垂直抗力です。車輪と路面の間が滑らない条件は、 ∴
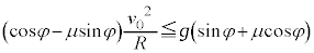
加速度の大きさの最大値は、 ......[]

U 真後ろから剛体棒上で見て、剛体棒に働く力は、鉛直下向きの重力,水平方向外向きの遠心力,路面から受ける鉛直上向きの垂直抗力N,路面から受ける水平方向内向きの静止摩擦力f です。
鉛直方向のつり合いより、

 ・・・@
水平方向のつり合いより、
 ・・・A

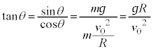
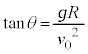
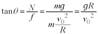
(1) Aのまわりの力のモーメントのつり合いより、
 ・・・B
......[]
別解.点Gのまわりの力のモーメントのつり合いより、
@,Aより、

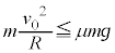
(2) 剛体棒が滑らない条件は、
@,Aより、
速さの最大値は、 ......[]

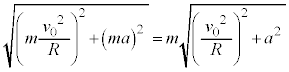
(3) 剛体棒には、剛体棒上で見て、水平方向進行方向と逆向きに、慣性力が働きます。水平方向内向きの摩擦力Aの他に、慣性力とつり合う摩擦力が、進行方向に働きます。
両者の合力として、車輪と路面の間に働く静止摩擦力の大きさは、
......[]

(4) @を用いて、剛体棒が滑らない条件は、


滑ることなく加速できるaの最大値は、 ......[]

V 真後ろから剛体棒上で見て、剛体棒に働く力は、鉛直下向きの重力,水平方向外向きの遠心力,路面から受ける斜面に垂直で上向きの垂直抗力N,路面から受ける路面に沿って下向きの静止摩擦力f です。

(1) Aのまわりの力のモーメントのつり合いは、Bの状況と変わりません。
......[]

(2) 鉛直方向の力のつり合いより、
 ・・・C
水平方向の力のつり合いより、
 ・・・D
Cより、 ・・・E
Dに代入すると、

をかけて、
 ・・・F
ここで、斜面上で滑らない条件は,Eより、

Fより、



問題文よりなので,つまり、です。よって、

よって、速さの最大値は、 ......[]

(3) U(2)の結果とV(2)の結果を2乗して比べてみます。

 ( )
ここで、等号成立はのとき、つまり路面が水平だったときです。
外側が高くなるように勾配がついている理由は、
で勾配がついているV(2)の方が、路面が水平なU(2)よりも大きいから ......[]



【広告】ここから広告です。ご覧の皆さまのご支援ご理解を賜りたく、よろしくお願いいたします。
【広告】広告はここまでです。

  東大物理TOP  物理TOP  TOPページに戻る

【広告】ここから広告です。ご覧の皆さまのご支援ご理解を賜りたく、よろしくお願いいたします。
【広告】広告はここまでです。

各問題の著作権は
出題大学に属します。

なお、解答は、
苦学楽学塾制作です。

©2005-2026
(有)りるらる
苦学楽学塾 随時入会受付中!
理系大学受験ネット塾苦学楽学塾
(ご案内はこちら)ご入会は、
まず、こちらまでメール
お送りください。