東大物理 '26 年前期 [2] 図 2-1 のような、円形レール上を回転する導体棒を含む回路を考える。導体でできた半径 l の円形レールが水平面上に設置され、中心点には導電性の回転軸が設置されている。それらの上には、質量をもつ導体棒が渡してある。導体棒は、その一端が回転軸で支持されており、もう一端を円形レールに接触させたまま水平面内で回転することができる。円形レールと回転軸は、それぞれ端子 P と端子 O で抵抗や切り替えスイッチ等に接続されている。抵抗の値は R である。円形レール内には、磁束密度 B の一様な磁場が、鉛直上向き ( 紙面の裏から表の向き ) にかけられている。ただし、円形レールの太さや回転軸の大きさは無視できるものとする。導体棒は変形せず、円形レールと回転軸以外には接触しない。 摩擦や空気抵抗、円形レールや導体棒の電気抵抗や接触抵抗、回路を流れる電流が作る磁場の影響は無視できるものとする。 T スイッチを開放したまま導体棒を一定の角速度 で回転させたところ、端子 O と端子 P の間に起電力 が生じた。この起電力は、係数 α を用いて と表される。微小な時間内に導体棒が横切る領域を貫く磁束を考え、係数 α を l , B を用いて答えよ。符号は問わない。
U 導体棒を静止した状態に戻したうえで、スイッチを端子 X に入れ、電圧 V の直流電源に接続した。直流電源の内部抵抗は無視できるものとする。
(1) スイッチを端子 X に入れた直後に導体棒の回転軸周りにはたらく力のモーメントの大きさを V , l , B , R を用いて表せ。符号は問わない。ただし、導体棒は太さが一定であり、一様な密度をもつものとする。
(2) その後、導体棒が回転軸の周りを回転し始めた。図 2-1 の ( あ ) , ( い ) のどちら向きに回転したか答えよ。
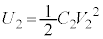
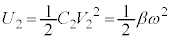
(3) 十分時間が経過した後、導体棒は一定の角速度 で回転し続けた。この角速度 の大きさを V , α , l , B , R から必要なものを用いて表せ。符号は問わない。 V 設問U (3) のように導体棒が角速度 で回転している状態で , スイッチを端子 Y に切り替え、容量 を持つコンデンサー 1 に接続する。導体棒の回転は徐々に緩やかになり、十分に時間が経過した後、一定の角速度 で回転し続けた。このとき、コンデンサー 1 に蓄えられているエネルギーを , α , l , B , から必要なものを用いて表せ。ただし、最初はコンデンサー 1 には電荷は蓄えられていなかったものとする。 W 設問U,Vの操作の結果は、図 2-2 のように、端子 O-P 間の部分を仮想コンデンサー ( コンデンサー 2) とみなすことでも理解できる。コンデンサー 2 は実際のコンデンサーと同様の性質をもつ。つまり、端子間の電圧 ,仮想的な容量 と仮想的な電荷 の間の関係式、および蓄えられる静電エネルギーは、実際のコンデンサーと同じ式で表される。
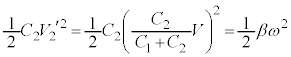
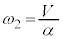
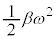
(1) 物体が回転しているとき、その物体は回転による運動エネルギーをもつ。 導体棒が一定の角速度 ω で回転しているとき、その運動エネルギーは、定数βを用いて と表すことができる。これに等しいエネルギーがコンデンサー 2 に静電エネルギーとして蓄えられていると解釈するとき、 と を、それぞれ ω , α , β を用いて表せ。 (2) 図 2-2 において設問U,Vと同じ操作を考える。すなわち、スイッチを端子 X に入れて十分時間が経過した後、 スイッチを端子 Y に切り替え、十分に時間を経過させる。この操作の結果、コンデンサー 1 に蓄えられているエネルギーを V , , を用いて表せ。ここで、スイッチを端子 Y に切り替えた後、 コンデンサー 1 とコンデンサー 2 に蓄えられる電荷の和は変化しないと考えてよい。 (3) 設問Vと設問W (2) の結果から、設問Vの を V , α , , を用いて表せ。 【広告】ここから広告です。ご覧の皆さまのご支援ご理解を賜りたく、よろしくお願いいたします。
【広告】広告はここまでです。
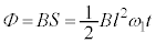
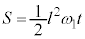
解答 以前、京大でよく見られた力学系を電磁気系で解釈しようという問題です。巨大な建造物の耐震性を調べるとき、実物を造らなくてもあらかじめ等価な電磁気系で評価することができます。 T 時間 t の間に導体棒が回転する角度は ,この間に導体棒が横切る領域の面積は ,導体棒が横切る領域を貫く 磁束 は 導体棒に発生する 起電力 は、 ,よって、 ......[ 答 ] U 導体棒には外側から回転軸に向って、 電流 が流れます。 (1) フレミング左手の法則 より、導体棒に働く力の大きさは ,向きは導体棒を反時計回りに回転させる方向です。導体棒の回転軸周りにはたらく 力のモーメント の大きさは ......[ 答 ]
(2) 導体棒に働く力は、 (1) に記した通り、反時計回りに回転させる方向なので、回転を始める向きは、 ( あ ) ......[ 答 ]
(3) 充分時間が経過すると、導体棒に発生する逆起電力の大きさが、直流電源の電圧と等しくなり、導体棒に電流が流れず、導体棒に働く力が 0 になります。T (1) において を として、導体棒には起電力 が発生しているので、 ∴ ......[ 答 ] V 充分時間経過すると、T (1) において として、導体棒には起電力 が発生します。コンデンサー 1 が蓄えているエネルギー は、 ......[ 答 ] W (1) コンデンサー 2 の電圧を とします。コンデンサー 1 の電圧も です。 コンデンサー 2 に蓄えられる電荷について、 ,コンデンサー 2 に蓄えられるエネルギーについて、 コンデンサー 2 の電圧 は、T (1) において として、 ,よって、 問題文よりコンデンサー 2 に蓄えられる 静電エネルギー は、 より、 ∴ ......[ 答 ] ∴ ......[ 答 ]
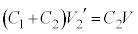
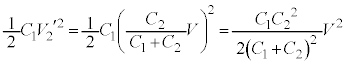
(2) スイッチを X に入れて充分時間が経過した後、コンデンサー 2 の電荷は スイッチを Y に切り替えて充分時間が経過すると、 と が 並列 になるので、両端の電圧を として、 , コンデンサー 1 に蓄えられるエネルギーは、 ......[ 答 ]
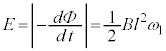
(3) スイッチを Y に入れて充分時間が経過すると、コンデンサー 2 に蓄えられるエネルギーは、導体棒の回転の運動エネルギーに等しく
(1) の答より ,これを代入して、 よって、 ......[ 答 ] 【広告】ここから広告です。ご覧の皆さまのご支援ご理解を賜りたく、よろしくお願いいたします。
【広告】広告はここまでです。
東大物理 TOP 物理 TOP TOP ページに戻る 【広告】ここから広告です。ご覧の皆さまのご支援ご理解を賜りたく、よろしくお願いいたします。
【広告】広告はここまでです。 各問題の著作権は 出題大学に属します。 なお、解答は、 苦学楽学塾制作です。 © 2005-2026 (有)りるらる 苦学楽学塾 随時入会受付中! 理系大学受験ネット塾 苦学楽学塾 (ご案内はこちら )ご入会は、 まず、こちらまでメール を お送りください。