京大理系数学'26年前期[1]
aを1より大きい実数とし、kは実数とする。
において定義された関数を
とおく。
と
のグラフの共有点がちょうど2個存在するような実数の組
の集合を、座標平面上に図示せよ。ただし、
は自然対数とする。また、
が成り立つことを証明なしに用いてよい。
【広告】ここから広告です。ご覧の皆さまのご支援ご理解を賜りたく、よろしくお願いいたします。
【広告】広告はここまでです。
解答 微分の計算問題です。
とおくと、
・・・@
です。
,
,
,
より、
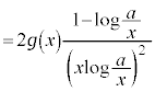
です。@を微分して、
とすると、
より、
,
∴ 
において、
は単調減少で、
と
のグラフの共有点が2個になることはありません。・
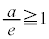
のとき、
より、
,
より、
の増減表は以下のようになります。 
より、
,よって、
のグラフは右図のようになります。
において、
と
のグラフの共有点がちょうど2個存在するのは、グラフより(微分法の方程式への応用を参照)、
・・・Aのときです。
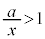
のとき、
のグラフは単調減少で、
のとき
,
のとき
のグラフは単調減少で、
,
のとき
注.念のため、
(
)を確認しておきます。
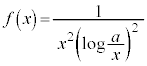
とおくと、
,
のとき

の増減表は以下のようになります。増減表より、
において
(等号は
のとき),
として、
(等号は
のとき) ∴
(等号は
のとき),即ち
において、
Aより、実数の組
の集合は、
かつ
,図示すると、右図黄緑色着色部(境界線を含まない)。
【広告】ここから広告です。ご覧の皆さまのご支援ご理解を賜りたく、よろしくお願いいたします。
【広告】広告はここまでです。
京大理系数学TOP 数学TOP TOPページに戻る
【広告】ここから広告です。ご覧の皆さまのご支援ご理解を賜りたく、よろしくお願いいたします。
【広告】広告はここまでです。
各問題の著作権は
出題大学に属します。なお、解答は、
苦学楽学塾制作です。©2005-2026(有)りるらる 苦学楽学塾 随時入会受付中!理系大学受験ネット塾苦学楽学塾(ご案内はこちら)ご入会は、
まず、こちらまでメールを
お送りください。