“Œ‹ž‰ÈŠw‘å—HŠwŒn”Šw'25”N‘OŠú[5]

(1) ŠÖ”
@()
‚Ì‘Œ¸‚𒲂×AƒOƒ‰ƒt‚ÌŠTŒ`‚ð‚©‚¯B
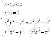
(2) ŽÀ”xCyCz‚ªAðŒ
‚ð–ž‚½‚µ‚È‚ª‚ç“®‚­‚Æ‚«Ax‚ªŽæ‚蓾‚é’l‚͈̔͂ð‹‚ß‚æB


yLz‚±‚±‚©‚çL‚Å‚·B‚²——‚ÌŠF‚³‚܂̂²Žx‰‡‚²—‰ð‚ðŽ’‚è‚½‚­A‚æ‚낵‚­‚¨Šè‚¢‚¢‚½‚µ‚Ü‚·B
yLzL‚Í‚±‚±‚܂łł·B

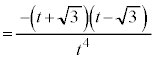
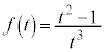
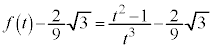
‰ð“š@”÷•ª–@‚ð‰ž—p‚µ‚Ä•û’öŽ®‚̉ð‚ðl‚¦‚é–â‘è‚Å‚·B

(1) ‚ð”÷•ª‚µ‚ÄA
@(¤‚Ì”÷•ª–@‚ðŽQÆ)
‚Æ‚·‚邯A

CC‚æ‚èA
‘Œ¸•\‚͈ȉº‚̂悤‚ɂȂè‚Ü‚·B
t @@ 0 @@
|0{~{0|
~

‘Œ¸•\‚æ‚è‚̃Oƒ‰ƒt‚ð•`‚­‚ƉE}B

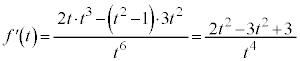
(2) –â‘è•¶‚ÌðŒŽ®‚Ì‘æ3Ž®‚Æ‘æ4Ž®‚É‚æ‚èA

C‚æ‚èAxCyCz‚ÍA0ˆÈŠO‚Ì‘ŠˆÙ‚È‚é3ŽÀ”‚Ȃ̂ÅAk‚ð“K“–‚ÈŽÀ”‚Æ‚µ‚ÄAxCyCz‚ÍA•û’öŽ®‚Ì0‚łȂ¢‘ŠˆÙ‚È‚é3ŽÀ”‰ð‚Å‚·(”÷•ª–@‚Ì•û’öŽ®‚ւ̉ž—p(2)‚ðŽQÆ)B
‰E}‚É‚¨‚¢‚ÄA‚̃Oƒ‰ƒt‚Æ’¼ü‚ÌŒð“_‚ðl‚¦‚邯A—¼ŽÒ‚ª
y޲()ãˆÈŠO‚É‘ŠˆÙ‚È‚é3Œð“_‚ðŽ‚Â‚Ì‚ÍAC‚ÌꇂÅAx‚ÍA•û’öŽ®‚̉ð‚Ì‚¤‚¿Å¬‚Ì‚à‚̂ł·B
‚̂Ƃ«A‰E}‚æ‚è‚Å‚·B
‚̂Ƃ«A‰E}‚æ‚èA
x‚Í‚æ‚è‘å‚«‚­A‚̂Ƃ«‚Ì•û’öŽ®‚̉ð‚Ì‚¤‚¿‚ÌŬ‚Ì‚à‚Ì(α‚Æ‚µ‚Ü‚·)‚æ‚è‚ଂ³‚­‚È‚è‚Ü‚·B
‚̂Ƃ«‚̃Oƒ‰ƒt‚Æ’¼ü‚͂ɂ¨‚¢‚ÄÚ‚·‚é‚̂ł±‚̂Ƃ«‚Ì•û’öŽ®A

‚É‚¨‚¢‚ÄA‰ð‚ÆŒW”‚ÌŠÖŒW‚æ‚èA
ˆ @(‚‚܂èA)
ˆÈã‚æ‚èAx‚ªŽæ‚蓾‚é”͈͂ÍAC .......[“š]



yLz‚±‚±‚©‚çL‚Å‚·B‚²——‚ÌŠF‚³‚܂̂²Žx‰‡‚²—‰ð‚ðŽ’‚è‚½‚­A‚æ‚낵‚­‚¨Šè‚¢‚¢‚½‚µ‚Ü‚·B
yLzL‚Í‚±‚±‚܂łł·B

@@“Œ‹ž‰ÈŠw‘唊wTOP@@”ŠwTOP@@TOPƒy[ƒW‚É–ß‚é

yLz‚±‚±‚©‚çL‚Å‚·B‚²——‚ÌŠF‚³‚܂̂²Žx‰‡‚²—‰ð‚ðŽ’‚è‚½‚­A‚æ‚낵‚­‚¨Šè‚¢‚¢‚½‚µ‚Ü‚·B
yLzL‚Í‚±‚±‚܂łł·B

Še–â‘è‚Ì’˜ìŒ ‚Í
o‘è‘åŠw‚É‘®‚µ‚Ü‚·B

‚È‚¨A‰ð“š‚ÍA
‹êŠwŠyŠwm§ì‚Å‚·B

©2005-2025
(—L)‚è‚é‚ç‚é
‹êŠwŠyŠwm Žž“ü‰ïŽó•t’†I
—Œn‘åŠwŽóŒ±ƒlƒbƒgm‹êŠwŠyŠwm
(‚²ˆÄ“à‚Í‚±‚¿‚ç)‚²“ü‰ï‚ÍA
‚Ü‚¸A‚±‚¿‚ç‚܂Ń[ƒ‹‚ð
‚¨‘—‚è‚­‚¾‚³‚¢B