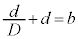
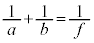
東大物理 '26 年前期 [3] レンズによって物体の実像をスクリーン上に投影することを考える。ただし、レンズの厚みは無視できるものとする。 T ここでは光が進む様子を光線としてとらえよう。図 3-1 のように、焦点距離が d の凸レンズ を用いて、 d に比べはるかに大きい距離 D ( )にある高さ H の物体 A の像を、スクリーン S に投影することを考える。 (1) スクリーンに明瞭な像を投影するためには、レンズ とスクリーン S との距離をレンズの焦点距離 d と等しくすればよい。このことを、物体と実像とレンズの位置関係を表すレンズの式を用いて、簡潔に説明せよ。
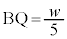
(2) この結像について述べた下の文章の空欄 ( ア ) , ( イ ) に入る式と語の組み合わせとして最も適当なものを、下の表の (a) 〜 (f) のうちから一つ選べ。
(3) 光軸に平行で、かつ光軸から距離 w だけ離れて に入射する光線 に注目する。この光線は により屈折して の焦点 に向かうが、途中で により再び屈折して、スクリーン S 上の位置 で光軸と交わる。このとき、レンズ の焦点距離を、 d を用いて表せ。また、この光線がスクリーンに達する際に光軸となす角 α に対して、 を d , w を用いて表せ。
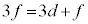
(4) 図 3-2 で示したレンズ および による組み合わせレンズを、適切な位置に置いた単一の凸レンズに置き換えて、前問 I(3) で注目した光線 を光軸となす角度 α で点 を通過させることを考える。このとき、この凸レンズの焦点距離を d を用いて表せ。
(5) 実際に用いられる望遠レンズは、図 3-2 のようなレンズの構成となっていることが多い。単一の凸レンズを用いた場合と比較して、その利点を簡潔に述べよ。
U 設問 I では光の伝わり方を光線で示したが、実際には光は波であるために物体上の一点から出た単色光をレンズで投影しても、像がわずかにぼやける ( ボケが生じる ) 。光の波長を λ としてこのボケの大きさを考えよう。図 3-3 のように、 1 枚の凸レンズ L によって十分に遠方にある物体の像をスクリーン S に投影する場合を考える。レンズ L の半径は R であり、焦点距離は d である。図のように十分遠方に置かれた物体の光軸上の一点から発せられた光は L に平面波として入射するが、 L を通過した後は球面波となって焦点 O に集束してゆく。 L を通過した直後の波面 W は、焦点 O を中心とする半径 d の球面と考えてよい。 焦点 O を原点、光軸を x 軸、スクリーンに沿って y 軸をとる。以下では のとき、 の近似式を用いてよい。
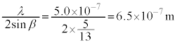
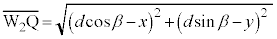
(1) 図 3-3 に示されるように、波面 W 上のすべての点から焦点 O までの距離は等しい。このため焦点 O には、レンズを通過した光はすべて同じ位相で到達し、点 O は明るくなる。一方、焦点 O の近傍の位置 Q では到達する際の光の位相は異なってくる。このとき波面 W 上にあるレンズの端近傍の点 から Q までの距離を ,レンズ中央部の点 から Q までの距離を とする。ここで角度 β は直線 と光軸のなす角である。このとき光路差 を、 d を用いずに x , y , β のみで表せ。ただし であり、 とする。
(2) スクリーン上に点 Q があるとする。スクリーン上の像のボケの大きさは、前問 II(1) で求めた光路差が光の半波長 となるときの Q の y 座標の値で与えられるものとする。このボケの大きさを、 β , λ を用いて表せ。
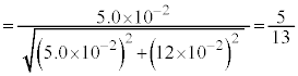
(3) 前問 II(2) で、 , , のとき、ボケの大きさを求めよ。さらに物体とレンズ間の距離が であるとき、このスクリーン上でのボケの大きさは、物体上でどれくらいの大きさに対応するか求めよ。
(4) スクリーンを焦点 O から光軸に沿ってレンズ L に近づけたときに、ほぼ明瞭な物体の像を結ぶことができるスクリーン位置の許容範囲を考えよう。 この許容範囲は、点 Q を x 軸上で動かしたとき、設問U (1) で求めた光路差 が光の半波長 と等しくなるまでの範囲と考えるものとする。点 Q の座標を Q とするとき、この許容範囲を与える x の値を、 β , λ を用いて表せ。 【広告】ここから広告です。ご覧の皆さまのご支援ご理解を賜りたく、よろしくお願いいたします。
【広告】広告はここまでです。
解答 レンズの問題ですが、レンズに斜めに入射する光線、という教科書の記述にはない状況を扱うため、混乱した受験生もいたのではないでしょうか。 bd をかけて、 , なので を無視すると、 です。つまり、レンズ とスクリーン S との距離 b をレンズの焦点距離 d と等しくすればよい、ことになります。
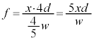
(2) 右図より、 h : d = H : D ∴ これより、物体の像の大きさは d に比例し、物体の像を大きく投影するためには、焦点距離がより「長い」レンズを用いればよいことがわかります。 よって、 ( ア ) は , ( イ ) は「長い」で、 (b) ......[ 答 ] (3) 右図のように、光軸に平行にレンズ ( 中心を R とします ) の A 点に入射した光線 が、レンズ で屈折して直進し、レンズ の B 点に入射し、さらに B 点で屈折して、スクリーン S 上の で光軸と交わるとします。この光線は、レンズ に斜めに入射するのですが、この場合のレンズ での屈折方向は、以下のようにして考えます ( レンズ を参照 ) 。 Q を通り、 AB に平行な直線と、レンズ との交点を C ,レンズ の 側の焦点を通り光軸と垂直な平面 ( 焦点面と言います。レンズ と焦点面との距離はレンズ の焦点距離 f です ) との交点を D とします。 B 点で屈折した光線は、あたかも焦点面上の D 点から出たかのように屈折して に進みます。右図より、 : = : より、 : w = d : ∴ ・・・@ AB // CQ より、 , 焦点面上において、 D 点と光軸との距離を x とします。 x : f = : ∴ ・・・A また、焦点面と との距離は です。@より、 : x = : ∴ Aより、 , ∴ ......[ 答 ] より、 ......[ 答 ]
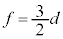
(4) (1) に沿って考えると、単一凸レンズの焦点距離 は、レンズとスクリーンの距離に等しく、光線 と光軸のなす角が α のまま を通過するので、 (3) の結果を用いて、 ∴ ......[ 答 ]
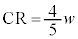
(5) レンズ , の組み合わせのときのレンズ とスクリーンの距離は です。単一レンズにすると、これが になります。つまり、レンズ , の組み合わせとする利点は、 望遠鏡の長さを短くできる。 ......[ 答 ]
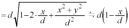
U (1) と Q の距離 は、 , を無視し、問題文の近似式を用いて、 ......[ 答 ]
(2) スクリーン上に点 Q があるとき、 (1) の結果で として光路差は、 ボケの大きさ、即ち、光路差が に等しいときの Q の y 座標の値は、 ∴ ......[ 答 ]
(3) 図 3-3 より、レンズ上の屈折点と O との距離が であることに注意して、 (2) の結果より、ボケの大きさは、 ......[ 答 ] 物体とレンズとの距離は ,レンズのスクリーンの距離は ,レンズの倍率は、 ,よって、スクリーン上でのボケの大きさに対応する物体上での大きさは、 ......[ 答 ] (4) 点 Q を x 軸上で動かすので、 (1) の結果で として、 光路差 が半波長 に等しくなるとき、 許容範囲を与える x の値は、 ......[ 答 ] 【広告】ここから広告です。ご覧の皆さまのご支援ご理解を賜りたく、よろしくお願いいたします。
【広告】広告はここまでです。
東大物理 TOP 物理 TOP TOP ページに戻る 【広告】ここから広告です。ご覧の皆さまのご支援ご理解を賜りたく、よろしくお願いいたします。
【広告】広告はここまでです。 各問題の著作権は 出題大学に属します。 なお、解答は、 苦学楽学塾制作です。 © 2005-2026 (有)りるらる 苦学楽学塾 随時入会受付中! 理系大学受験ネット塾 苦学楽学塾 (ご案内はこちら )ご入会は、 まず、こちらまでメール を お送りください。